<
【期末试卷】人教版七年级数学(下)册53套附答案 |可下载-一点通教学网
我的
【期末试卷】人教版七年级数学(下)册53套附答案 |可下载
请收藏好以下图片预课资料
(点击上图可观看视频及下载课件教案)

领取电子版打印请拉到文末

领取电子版打印请拉到文末

领取电子版打印请拉到文末


【预习】初中数学7~9年级(上下)册图文微课+课件教案

【预习】初中语文|数学|英语|道法|历史|物理|化学|生物|地理|微课

【课件教案】人教版数学1-9年级课件教案试卷习题知识点等

【教师用书】人教版初中数学7-9年级下册

【知识点】人教版初中数学七年级下册

【电子课本】人教版 七年级数学下册 高清


试卷资料展示


试卷展示


部编版七年级语文下册期末试题


七年级数学下册期末试卷(3套)


期末综合检测卷(一)


一、选择题(每小题3分,共24分)

1. 下列说法不正确的是(  )

A. 4是16的算术平方根    B. 的一个平方根

C. (-6)2的平方根为-6    D. (-3)3的立方根为-3


2. 将点P(-2,-3)向左平移1个单位,再向上平移3个单位,所得到的点的坐标为(  )

A. (-3,0)    B. (-1,6)    C. (-3,-6)    D. (-1,0)


3. 为了了解某校学生对篮球、足球、羽毛球、乒乓球、网球等五类球的喜爱情况,小李采用了抽样调查.在绘制扇形图时,由于时间仓促,足球、网球的信息还没有绘制完成,如图1所示,根据图中信息,这批被抽样调查的学生中最喜欢足球的人数一定不可能是(  )

A. 100    B. 200    C. 260    D. 400


4. 如图,直线c与直线a、b相交,不能判断直线a、b平行的条件是(  )

A. ∠2=∠3    B. ∠1=∠4

C. ∠1+∠3=180°    D. ∠1+∠4=180°


5. 超市为了制定某个时间段收银台开放方案,统计了这个时间段本超市顾客在收银台排队付款的等待时间,并绘制成如图所示的频数分布直方图(图中每组含左端点,不含右端点).这个时间段内顾客等待时间不少于6 min的有(  )

A. 5人    B. 7人    C. 16人    D. 33人


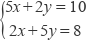
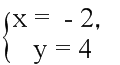
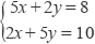
6. 已知都是关于x、y的方程y=kx+b的解,则k与b的值分别为(  )

A. k=-2,b=8    B. k=-2,b=0

C. k=2,b=8    D. k=2,b=-8


7. 小林在某商店两次购买商品A、B,购买商品A、B的数量和费用如下表:

则商品A、B的单价分别是(  )

A. 60元,90元    B. 90元,60元

C. 90元,120元    D. 120元,90元


8. 若关于x的一元一次不等式组有解,则m的取值范围是(  )

A. m>-    B. m≤    C. m>    D. m≤-


二、填空题(每小题3分,共24分)

9. 若x2=5,则x=____.


10. 已知点P(3a-6,1-a)在x轴上,则点P的坐标为____.


11. 计算:-+-|-6|=____.


12. 某校在七年级的一次模拟考试中,随机抽取40名学生的数学成绩进行分析,其中有10名学生成绩达90分以上,据此估计该校七年级640名学生中这次模拟考试成绩达90分以上的约有____名学生.


13. 已知实数x、y满足2x-3y=4,并且x≥-1,y<2,现有k=x-y,则k的取值范围是____.


14. 如图,将一个宽度相等的纸条沿AB折叠一下,如果∠1=130°,那么∠2=____. 


15. 当x____时,代数式+1的值不大于-1的值.


16. 如图,将一副三角板重叠放置,其中30°和45°的两个角顶点重合在一起.若将三角板△AOB绕点O旋转,在旋转过程中,当AB∥OC时,∠BOC=____. 


三、解答题(共72分)

17. 已知关于x,y的二元一次方程kx+b=y的解有求3k-b的值.


18. 解不等式组,把不等式组的解集在数轴上表示出来,求出其非负整数解.


19. 如图,∠B=42°,∠1=∠2+10°,∠ACD=64°,∠ACD的平分线与BA的延长线相交于点E.

(1)请你判断BF与CD的位置关系,并说明理由;

(2)求∠3的度数.


20. 已知正方形ABCD的边长为4,它在平面直角坐标系中的位置如图7所示.

(1)直接写出点A、B、C、D的坐标;

(2)若将正方形ABCD向右平移2个单位长度,再向上平移2个单位长度,可以得到正方形A\\\\'B\\\\'C\\\\'D\\\\',画出平移后的图形,写出点A\\\\'的坐标,并求出该点位于坐标原点北偏东多少度.


21. 在太空种子种植体验实践活动中,为了解“宇番2号”番茄,某校科技小组随机调查60株番茄的挂果数量x(单位:个),并绘制了如下统计表和如图所示的频数分布直方图.

“宇番2号”番茄挂果数量统计表

请结合图表中的信息解答下列问题:

(1)统计表中,a=    ,b=    ; 

(2)将频数分布直方图补充完整;

(3)若绘制“宇番2号番茄挂果数量扇形统计图”,则挂果数量在“35≤x<45”所对应扇形的圆心角度数为 °; 

(4)若所种植的“宇番2号”番茄有1 000株,则可以估计挂果数量在“55≤x<65”范围的番茄有    株.


22. 下图是小欣在“A超市”买了一些食品的发票.后来不小心发票被弄烂了,有几个数据看不清.


(1)根据发票中的信息,请求出小欣在这次采购中,“雀巢巧克力”与“趣多多小饼干”各买了多少包;

(2)“五一”期间,小欣发现,A、B两超市以同样的价格出售同样的商品,并且又各自推出不同的优惠方案:在A超市累计购物超过50元后,超过50元的部分打九折;在B超市累计购物超过100元后,超过100元的部分打八折.


请问:①“五一”期间,小欣去哪家超市购物更划算?

②“五一”期间,小欣又到“B超市”购买了一些“雀巢巧克力”,请问她至少购买多少包时,平均每包价格不超过20元?


23. 如图(1),在平面直角坐标系中,点A、B的坐标分别为(-1,0)、(3,0),现同时将点A、B向上平移2个单位长度,再向右平移一个单位长度,得到A、B的对应点C、D,连接AC、BD、CD.


(1)写出点C、D的坐标并求出四边形ABDC的面积;


(2)在x轴上是否存在一点F,使得△DFC的面积是△DFB面积的2倍?若存在,请求出点F的坐标;若不存在,请说明理由;


(3)如图(2),点P是直线BD上一个动点,连接PC、PO,当点P在直线BD上运动时,请直接写出∠OPC与∠PCD、∠POB的数量关系.




期末综合检测卷(二)


一、选择题(本大题共10个小题,每小题3分,满分30分)

1. 在平面直角坐标系中,点P24)的位置在   (      )

A. 第一象限B. 第二象限C. 第三象限D. 第四象限

2. 如图,表示下列某个不等式的解集,其中正确的是   (      )

A. x>2   B. x2C. x≥2   D. x≤-2

3. 如图,由ABCD,可以得到

A. ∠1=∠2B. ∠2=∠3C. ∠1=∠4D. ∠3=∠4

4. 下列说法中正确的是(   )  

A.正数的算术平方根一定是正数          

B. 如果a表示一个实数,那么﹣a一定是负数   

C.和数轴上的点一一对应的数都是有理数  

D. 1的平方根是1

5. 如图,∠1+∠2180°,∠3108°,则∠4的度数是

A. 108° B. 82°C. 80° D. 72°
6. 下列计算或命题:

其中正确的有(   )   

A1    B. 2   C. 3    D.4

7. 若P(X,Y)的纵坐标是XY>0,,则点P在(     )

A,第一象限  B, 第二象限 C, 第一三象限  D,第二四象限
8. 为处理甲、乙两种积压服装,商场决定打折销售,已知甲、乙两种服装的原单价共为880元,现将甲服装打八折,乙服装打七五折,结果两种服装的单价共为684元,则甲、乙两种服装的原单价分别是(    )
A.400元,480元B.480元,400元C.560元,320元D.320元,560元

9.


中,正确的有(  )

A.1个  B.2个 C.3个 D.4个

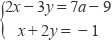
10. 地理老师介绍到:长江比黄河长836千米,黄河长度的6倍比长江长度的5倍多1284千米,小东根据地理教师的介绍,设长江长为x千米,黄河长为y千米,然后通过列、解二元一次方程组,正确的求出了长江和黄河的长度,那么小东列的方程组可能是(      ) 

二、填空题(本大题共8个小题,每小题2分,满分16分)
11. a    时,式子157a的值是正数.
12. 如图,已知ABCD,∠A60°,∠B49°,则∠1   度,2    .

16. 在直角坐标系中,点M到X轴负半轴的距离为2,到Y轴正半轴的距离为4,则M点的坐标为      

17. 在平面直角坐标系中,线段AB的端点A的坐标为(-32),将其先向右平移4个单位,再向下平移3个单位,得到线段AB,则点A对应点A的坐标为      .
18. 不等式-3≤5-2x<3的正整数解是________.
三、解答题

把它的解集在数轴上表示出来。(7分)

21.(本题6分)如图,在为1个单位的正方形网格图中,建立了直角坐标系xoy,按要求解答下列问题:

(1)  写出△ABC三个顶点的坐标                          
(2) 画出△ABC向右平移6个单位后的图形△A
(3) 求△ABC的面积
22. (本题8分)为了调查某校七年级600名学生的期末数学考试成绩,抽取了一部分学生的成绩绘制了如图所示的频数分布直方图(满分120分),根据图中提供的信息回答下列问题:
(2)被抽取部分的考试成绩,哪一分数段的人数最多?是多少人?
(3)若90分以上(包括90分)为优秀,则优生率是多少?
(4)请你估计该校七年级获优秀的学生人数.

22. (本题6分) 如图,已知CDABD,点EBC上任意一点,EFABF,且∠1=∠258°,∠398°,求∠ACB的度数

24. 好消息:“灾后重建”完成后,今年下半年,我县将对最后几所未“重建”的一类中学和二类中学的校舍进行改造根据预算,改造1所一类中学和2所二类中学的校舍共需资金440万元,改造3所一类中学和1所二类中学共需资金720万元.
(1)求改造1所一类中学的校舍和1所二类中学的校舍所需资金分别是多少万元?
(2)我县还未“灾后重建”的一类中学和二类中学现共有8所需要改造改造资金由国家财政和地方财政共同承担若国家财政拨付的改造资金不超过1220万元,地方财政投入的资金不少于280万元,其中地方财政投入一类中学和二类中学的改造资金分别为每所40万元和20万元,请你通过计算求出有几种改造方案,每个方案中一类中学和二类中学各有几所?



期末综合检测卷(三)


一、单选题(共16题;共32分)

1.已知是方程的一个解,那么的值是(    

A. -2        B. 2

C. -4        D. 4

2.如图,∠1的内错角是(  )

A. ∠2         B. ∠3

C. ∠4         D. ∠5

3.港珠澳大桥整个大桥造价超过720亿元人民币,720亿用科学记数法表示为(   

A. 72×109       B. 7.2×109 

C. 7.2×1010     D. 0.72×1011

4.下列等式从左到右的变形,属于因式分解的是(  )

A.  

B.

C.

D.

5.如图,将一块三角尺的直角顶点放在直尺的一边上,当时,的度数为(     

A.       B.

 C.      D. 

6.不等式组的解集,在数轴上表示正确的是(  ) 

A.

B.

C.

D. 

7.下列各式中,能用完全平方公式因式分解的是(    ) 

A.

B.

C.

D.

8.下列长度的四根木棒,能与长度分别为2cm5cm的木棒构成三角形的是(      ) 

A.3      B.4      C.7     D.10

9.《九章算术》是中国传统数学名著,其中记载:今有牛五、羊二,直金十两;牛二、羊五,直金八两.问牛、羊各直金几何?译文:假设有5头牛,2只羊,值金10两;2头牛,5只羊,值金8两.问每头牛、每只羊各值金多少两?若设每头牛、每只羊分别值金x两、y两,则可列方程组为(    

A.

B.

C.

D.

10.如图,在△ABC中,CD∠ACB的外角平分线,且CD∥AB,若∠ACB100°,则∠B的度数为(  )  

A. 35°        B. 40o 

C. 45o         D. 50o

11.下列计算结果正确的是(     

A.

B.

C.

D.

12.三条高的交点一定在三角形内部的是(  ) 

A. 任意三角形      B. 锐角三角形

C. 直角三角形      D. 纯角三角形

13.已知,要使X是负数,则a的取值范围是(     

A.a>3          B.a<3

C.a<-3         D.-3a<3

14.如图,三角形ABC 经过平移后得到三角形 DEF,下列说法:①AB∥DE②ADBE③∠ACB∠DFE④BCDE.其中正确的有 (   )

  

A. 1            B. 2  

C. 3            D. 4 

15.东东是一位密码编译爱好者,在他的密码手册中,有这样一条信息:x-ya-b2ax+y分别对应下列六个字:源,丽,美,我,游,渭.现将因式分解,结果呈现的密码信息可能是(     ) 

A. 我爱美        B. 我游渭源

C. 美丽渭源      D. 美我渭源

16.如图,在△ABC中,已知点DEF分别是BCADCE的中点,且△ABC的面积为16,则△BEF的面积是(  )

A. 2          B. 4

C. 6          D. 8

二、填空题(共4题;共4分)

17.关于xy的二元一次方程组的解是,则的值为________

18.如果将一副三角板按如图方式叠放,那么∠1 的大小为________(度).

19.不等式组的整数解为________

20.a+b4ab1,则(a+22﹣(b22的值为________

三、解答题(共6题;共42分)

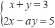
21.已知关于的二元一次方程组的解满足方程,求a的值.

22.某同学化简aa+2b)﹣(a+b)(ab)出现了不正确,解答过程如下: 

原式=a2+2ab﹣(a2b2 (第一步)

a2+2aba2b2(第二步)

2abb2 (第三步)

1)该同学解答过程从第________步开始出错,不正确原因是________

2)写出此题正确的解答过程.

23.如图,AB∥CD△EFG的顶点FG分别落在直线ABCD上,GEAB于点HGE平分∠FGD.∠EFG=90°∠E=35°,求∠EFB的度数

24.青年志愿者爱心小分队赴山村送温暖,准备为困难村民购买一些米面.已知购买1袋大米、4袋面粉,共需240元;购买2袋大米、1袋面粉,共需165.    

1)求每袋大米和面粉各多少元? 

2)如果爱心小分队计划购买这些米面共40袋,总费用不超过2140元,那么至少购买多少袋面粉?

25.下面是某同学对多项式(x24x+2)(x24x+6+4进行因式分解的过程  

解:设x24xy

原式=(y+2)(y+6+4 (第一步)

y2+8y+16 (第二步)

=(y+42(第三步)

=(x24x+42(第四步)

1)该同学第二步到第三步运用了因式分解的      (填序号). 

A.提取公因式

B.平方差公式

C.两数和的完全平方公式

D.两数差的完全平方公式

2)该同学在第四步将y用所设中的x的代数式代换,得到因式分解的最后结果.这个结果是否分解到最后?________.(填)如果否,直接写出最后的结果________

3)请你模仿以上方法尝试对多项式(x22x)(x22x+2+1进行因式分解.

26.阅读理解:请你参与下面探究过程,完成所提出的问题.

1)问题引入: 

如图,在中,点o平分线的交点,若,则_____度;若,则______(用含a的代数式表示);

2)类比探究: 

如图,在中,.试探究:的数量关系(用含a的代数式表示),并说明理由.

3)知识拓展: 

如图分别是的外角n等分线,它们的交于点,求的度数(用含的代数式表示)


往期资料推荐



1-9年级(上下册)各科目电子课本

7~9年级语文(上下)全册图文视频

7~9年级数学(上下册)图文视频(各版本)

7~9年级英语(上下)全册图文微课(各版本)

1-9年级英语基础音标+口语发音教程

7-9年级道德与法治(上下)全册图文

7-9年级历史(上下)全册图文微课

8~9年级物理(上下)册图文视频

7~8年级地理(上下)全册图文微课

7~8年级生物(上下)全册图文微课

9年级 化学(上下)册图文微课

1~9年级 美术(下)册全册微课

1~9年级各科目全册教案汇编

1-9中小学班主任工作包汇总(2568份班会课件)


领取方法1



第一步:长按二维码关注中小学师生

第二步:在公众号对话框输入“19653下载


领取方法2

打不开百度网盘链接的地区

可长按扫码直接进入下载


电脑端下载网址

http://jazpan.com/box/655.html

图文来自网络,版权归原作者,如有不妥,告知即删

点击阅读原文下载全册PPT课件教案习题朗读试卷电子课本等资源

→→中学生辅导答疑 点这里

1→ 统编教材配套课外阅读书籍

2→ 难懂的数学概念一眼看明白