<
【期末试卷】人教版八年级物理(下)册14套附答案 |可下载-一点通教学网
我的
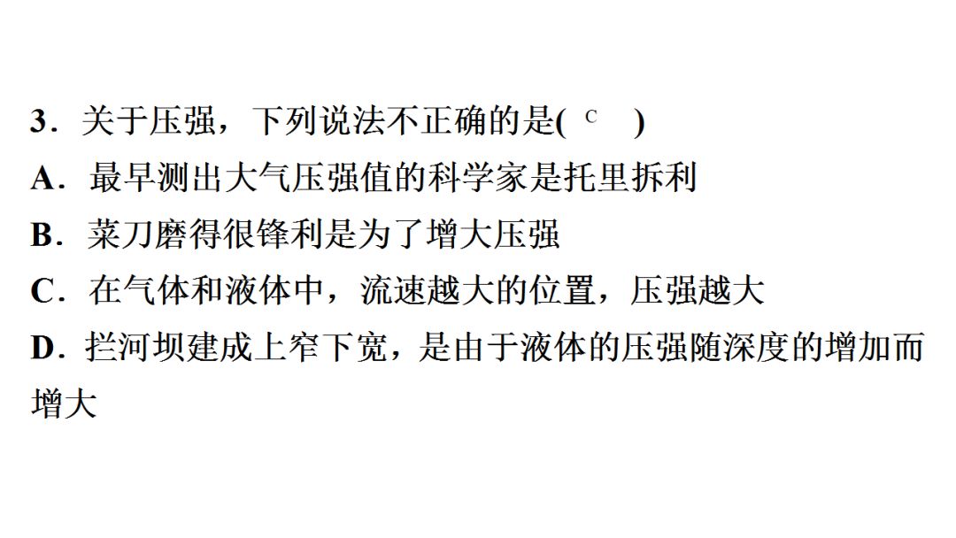
【期末试卷】人教版八年级物理(下)册14套附答案 |可下载
请收藏好以下图片预课资料
(点击上图可观看视频及下载课件教案)

领取电子版打印请拉到文末

领取电子版打印请拉到文末

领取电子版打印请拉到文末


【预习】物理 8~9年级上下册图文微课课件教案试卷
【课件】人教版初中7~9年级物理全册PPT课件教案试卷习题视频
【预习】初中语文|数学|英语|道法|历史|物理|化学|生物|地理|配套微课
【电子课本】人教版 初中物理化学89年级
【知识点】人教版八年级物理(下)册 及复习提纲
【知识点】人教版九年级物理(全一册)及复习提纲

试卷资料展示


试卷10-14套展示


人教版八年级物理下册期末试题10

一、选择题:

1. 在水中划船时,使船前进的动力是(  )

A. 船桨对水的推力    B. 人对船的推力

C. 水对桨的推力    D. 水直接对船的推力


2. 关于重力,下列说法中正确的是(  )

A. 重力就是地球对物体的吸引力

B. 物体的重心不一定都在物体上

C. 重力的方向总是垂直向下的

D. 物体的质量与物体受到的重力成正比


3. 如图甲所示,小明将一块长木板放在水平桌面上.现用一水平力F,向右缓慢地推木板,使其一部分露出桌面如图乙所示.在推木板的过程中,木板对桌面的压力F、压强p和摩擦力f的变化情况是(  )

A. F、p不变,f变大    B. F、f不变,p变小

C. F、f不变,p变大    D. F变小,p、f变大


4. 如图所示是探究“阻力对物体运动影响”的实验装置,下列有关此探究活动的各种表述,错误的是(  )

A. 每次实验时,应使小车从斜面的同一高度滑下

B. 由于惯性,小车到达水平面后继续向前运动

C. 水平面越粗糙,小车在水平面上前进的距离越远

D. 运动的物体若不受阻力,将一直运动下去


5. 在家庭实验室中,小明把鸡蛋放入盛水的杯中,鸡蛋沉在杯底如图甲;向杯中加盐,鸡蛋悬浮如图乙;再加盐鸡蛋漂浮如图丙,三种情况下,各物理量间的关系正确的是(鸡蛋质量不变)(  )

A. 液体的密度ρ甲=ρ乙<ρ丙

B. 鸡蛋排开液体的质量m甲=m乙>m丙

C. 鸡蛋受到的浮力F甲<F乙=F丙

D. 液体对容器底的压强p甲=p乙>p丙


6. 在探究浮力问题时,某同学做了如图所示实验.测量时弹簧测力计的示数分别是F1、F2、F3和F4.其中符合阿基米德原理叙述的等量关系的是(  )

A. Fl>F3>F4>F2    B. F1﹣F3=F4﹣F2    

C. F1+F2=F3+F4    D. F1﹣F2=F3﹣F4


7. 如图所示,装有水的容器静止在斜面上,其底部a、b、c三处受到水的压强分别为Pa、Pb、Pc,则以下判断正确的是(  )

A. Pa=Pb=Pc    B. Pa<Pb<Pc    C. Pa>Pb>Pc    D. Pa>Pb=Pc


8. 把长10cm左右的饮料吸管A插在盛水的杯子中,另一根吸管B的管口贴靠A管的上端,如图所示,往B管中吹气,可以看到A管中的水面高度(  )

A. 上升    B. 下降    C. 不变    D. 无法判断


9. 关于滚摆在运动过程中能量的分析,下列说法正确的是(  )

A. 下降过程中动能不变    B. 最低点动能为零

C. 上升过程中重力势能减小    D. 最高点重力势能最大


10. 如姿同学在整理物理笔记时,有如下四句话其中错误的是(  )

A. 成年人步行速度约为1m/s

B. 一个中学生体重约为450N

C. 用手托起两个鸡蛋的力约为0.1kg

D. 功和能的单位都是焦耳


11. 对物理量的估测是一种良好的学习习惯,也是学好物理的基本功之一.下列是小佳同学对本学期所学的一些物理最的估测数据,其中最符合实际的是(  )

A. 一名初中学生的体重约为500N

B. 一名初中学生站立在水平地面上时,对地面的压强约为3×104 Pa

C. 一名初中学生浸没在水中时,受到水的浮力约为1.0×103N

D. 一名初中学生从一楼步行到三楼所做的功约为3×104J


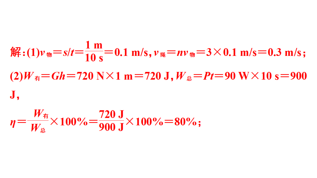
12. 如图甲所示,是建筑工地上的塔式起重机示意图,它是通过电动机带动如图乙所示的滑轮组起吊物料的.如果这个滑轮组把6×103N的重物在10s内匀速提升l0m,绳索自由端的拉力F=2.1×103N,不计一切摩擦和绳重,则下列说法中正确的是(  )

A. 拉力做的功是2.1×104J    B. 拉力F的功率是2.1×103W

C. 该滑轮组的动滑轮共重300N    D. 该滑轮组的机械效率是80%


二、填空题:

13. 注射器能将药液吸入针管是利用了_______的作用;在标准大气压(压强值取为l.0×105Pa)下,面积为20m2的房顶上表面受到的大气压力大小为________N.

14. 我国汽车产业正在快速发展,为了安全,一般轿车内都配有安全带和安全气囊.安全带的宽度比较大,这是为了_______(选填“增大”或“减小”)压强;安全气囊会在车子发生严重撞击时,自动充气弹出,使车内的人不会由于_______而撞到车身上.

15. 滑冰运动员在滑冰时为了滑的更快,总是用力向后蹬冰面,这样运动员就能快速向前滑行,这是由于物体间力的作用是______ 的;当运动员在匀速直线滑行的过程中,他受到的重力和地面对他的支持力是一对_______ (填“平衡力”或“相互作用力”).

16. 下图中搬运泥土的独轮车属于______杠杆(选填“省力”或“费力”).设车箱和泥土的总重G=1000N,运泥土时从A点提起独轮车把手的力是F,F的大小至少是______N.

17. 如图所示,护士给病人输液时,药水瓶上插着两根管,一根给病人输液,另一根通过瓶盖扎进瓶内药水中,这根“闲置”管是为了利用_______.由于针头较细,为了确保药液的流速,需要将药水袋提升到比针管约高1.3m的高度,由此可推算出针管处受到药液的压强约为__________Pa (ρ药液=ρ水).      

18. 如图所示,飞机前进时机翼上方气流的速度比下方气流的速度要大,从而使得机翼下方空气的压强_______(填“大于”或“小于”)上方空气的压强,空气对机翼产生________(选填“向上”或“向下”)的作用力.

19. 如图所示,物体A重30N,B重15N,物体A的底面积为10cm2,物体B的底面积为5cm2.则A对B的压强是_______Pa,B对桌面的压强是________Pa.

20. 跳绳是一种健身运动,李强同学对此作了专门研究:跳绳者的质量m=50kg,跳绳者的重心高度随时间变化的情况如图所示.根据所给条件可估算出此跳绳者每跳一次克服重力所做的功是______J.在lmin内克服重力做功的平均功率为______W.(g取10N/kg)      


三、解答题:

21. 如图所示,质量为m的木块A与平板小车一起在水平桌面上向左匀速运动,请在图中画出木块所受力的示意图.

22. 如图木杆AB可绕O点转动,现处于平衡状态,请作出力F的力臂.

23. 在“探究改变滑动摩擦力大小的方法”实验中,小明同学选用了一块带钩的长方体木块(重为G,各个表面粗糙程度一样),质量相等的几个钩码,弹簧测力计一只.请补全下列步骤中的相应内容:

(1)小明把长方体木块平放在水平桌面上,为了测出滑动摩擦力的大小,他用弹簧测力计水平__________拉动木块,记下此时弹簧测力计的示数为F1,则滑动摩擦力的大小等于_______;

(2)接着,他在木块上先后增加两个或四个钩码,重复步骤(1),分别读出对应的弹簧测力计示数为F2和F3,发现F3>F2>F1,说明______________________________;

(3)取下钩码,他又把该木块侧放在水平桌面上,按步骤(1)的方法再次读出弹簧测力计的示数,他这样操作是为了研究________________________________.

24. 有两只相同的烧杯,分别盛有体积相同的水和酒精,但没有标签,小李采用闻气味的方法判断出无气味的是水.小王则采用压强计进行探究:

(1)小王把微小压强计的探头分别浸入到两种液体中,发现图甲中U形管两边的液柱高度差较小.认为图甲烧杯中盛的是酒精.小李认为他的结论是不可靠的,因为没有控制探头的橡皮膜在液体中的_____相同.

(2)小王发现在同种液体中,探头离液面的距离越深,U形管两边液面的高度差就越____,表示液体的压强就越_____.

(3)小王还发现在同种液体中,探头距液面的距离相同时,只改变橡皮膜的方向,U形管两边液面的高度差不变,表明同种液体在同一深度处,向各个方向的压强______.

25. 某学习小组对“影响压力作用效果的因素”进行了探究,他们采取了如下的方法:甲图把小桌放在海绵上;乙图在小桌上放一个砝码;丙图把小桌翻过来,桌面朝下并在它上面放一个砝码.通过海绵被压下的深浅显示压力作用效果.

(1)比较______两图可知,当受力面积一定时,压力越大,压力的作用效果越明显;

(2)此实验______(选填“能”或“不能”)用硬纸板代替海绵,原因是__________;

(3)此实验中运用到的主要科学方法是____________.(写出一种)

26. “业余侦探”小星发现两个并拢的“可疑”鞋印.为了估测那个人的体重,小星在方格纸上描下一只鞋底接触地面部分的轮廓如图所示,图中每个小方格的面积是5cm2.测量时,凡大于半格的都算一格,小于半格的都不算.为了测量压强,他在紧挨鞋印旁边地面用压力测力计竖直向下压一薄垫片,垫片的重力不计,与地面接触的面积是10cm2,当垫片下陷的深度与鞋印的深度相同时,测力计读数是15N.根据以上数据,(g取10N/kg).试求:

(1)垫片对地面的压强;

(2)“可疑”人的质量.

27. 如图所示,将边长为10cm的正方体木块,放入盛有水的水槽内,待木块静止时,其下表面距水面6cm.已知ρ水=1.0×103 kg/m3  g取10N/kg,求

(1)木块下表面受到水的压强大小?

(2)木块受到的浮力大小?

(3)木块的密度大小?


人教版八年级物理下册期末试题11


一、选择题(每小题只有一个选项正确:每小题2分,共30分)
1.下列数值最接近实际情况的是(       )
A.洗澡水的温度约为70℃              

B.一部手机的质量约为1kg
C.普通居民楼每层高约为5m            

D.声音在空气中的传播速度约为340m/s


2.在鲁迅的《社戏》中有这样的描写:“淡黑的起伏的连山,仿佛是踊跃的铁的兽脊似的,都远远地向船尾跑去了…”其中“山……向船尾跑去了”所选的参照物是(        )
A.山           B.船           C.流水           D.河岸


3.下列图象中,能正确反映匀速直线运动的是(        )


4.关于声现象,下列说法正确的是(        )

A.只要物体振动,人们就能听到声音     

B.人们能分辨蛙声和蝉鸣,是因为它们的音调不同
C.地震、火山喷发等自然现象都伴有次声波的产生
D.人们利用超声检测锅炉是否有裂纹,说明声音可以传递能量


5.在平直的公路上,小明坐在车上用电子手表的秒表功能测出了汽车连续通过5根电线杆的时间为10s,相邻电线杆的距离为50米,则汽车的平均速度约为(        )
A. 90km/h          B. 70km/h        

C. 50km/h          D. 40km/h


6.城市建设和管理越来越注重“以人为本,和谐发展”的理念,如城市道路两旁植树:穿城而过的高铁两旁建有隔音板;在高噪声环境下工人需戴耳罩;跳广场舞的大妈要把音量调小一些,这些措施的共同目的是(        )
A.减小噪声污染      B.减小大气污染         

C.绿化美化环境       D.减小水污染


7.关于物态变化,下列判断正确的是(        )
A.擦在皮肤上的水变干,是升华现象         

B.夏天冰棒周围冒“白气”,是汽化现象
C.冬天驾车时挡风玻璃上起雾,是液化现象   

D.冬天室外飘起的雪花,是凝固现象


8.小明到商店购买乒乓球时,总是要将几只乒兵球从一定的高处放手,观察乒乓球反弹的高度,选择反弹得较高的乒乓球。李明的行为属于科学探究中的(        )
A.提出问题      B. 猜想与假设    

C.进行实验与收集证据     D.交流合作、评估


9.下列与物态变化有关的说法正确的是(        )
A.蒸发在任何温度下都能发生             

B.水凝固时放出热量,温度降低
C.霜是空气中的水蒸气凝固形成的        

D.露珠是空气中的水蒸气汽化形成的


10.如图所示,下列光学现象及其解释正确的是(        )

A.图甲中,小孔成的是倒立的虚像        

B.图乙中,人配戴的凹透镜可以矫正远视眼

C.图丙中,海市蜃楼是由于光的折射现象形成的

D.图丁中,漫反射的光线杂乱无章,不遵循光的反射定律


11.下列关于光现象及其形成原因的说法,正确的是(        )
A.黑板反光-------光的镜面反射      

B.水中倒影--------光的折射
C.树下光斑-------光的反射          

D.雨后彩虹--------光的直线传播


12.一束平行光从水中射入空气,OP是其中的一条反射光线,如图所示。能正确反映光线OP的光路图是(        )


13.小刚将一块质量为200g的铁块放在火炉里加热,当温度升高到280℃,质量(        )

A.仍是200g                  B.大于200g          

C.小于200g                   D.无法确定


14.近年来流行“自拍神器”给旅行者自拍带来方便,如图所示,与直接拿手机自拍相比,利用“自拍神器”主要作用是可以(        )
A.增大像距                      B.增大像的大小
C.缩短景物到镜头距离      D.增大取景范围


15.一凸透镜的焦距为15cm,将点燃的蜡烛从离凸透镜40cm处沿主光轴移到20cm处的过程

中,像的大小和像距的变化情况是(        )
A.像变大,像距变大           B.像变小,像距变小    

C.像变大,像距变小           D.像变小,像距变大


二、填空题(2分,共20分)

16.在观看音乐会时,小明同学因为近视眼无法看清是哪位艺术家在演奏,但他能区分钢琴和二胡的声音,这是根据声音的         来判断的;小明只好用望远镜来观看演奏,望远镜的物镜和目镜是由两组         透镜组成的。

17.人站在竖起的穿衣镜前5米处,若人以0.5米/秒的速度向镜移动6秒后,人与镜中的像距离为         米,此时像的大小         (选填“变大”、“变小”或“不变”)

18.有些干早缺水的地区,人们常采用如图所示的方法收集土壤中的水分。土壤中的水分子接触塑料薄膜前发生了         (填写物态变化名称)现象;水蒸气在塑料薄膜下凝结成水珠过程中,         (填“吸收”或“放出”)热量。


19.雨后的天空,常常出现彩虹,这属于光的              现象。我国是世界上电视用户最多的国家,彩色电视机屏幕上各种艳丽色彩是由红、             、蓝三种色光通过适当的比例混合得到的。  


20.长沙黄花机场进站通道采用了人脸识别系统(如右图所示),识别系统的摄像机可以自动将镜头前1m处的人脸拍摄成数码照片传递给设备识别。此系统的摄像机的镜头相当         透镜,它的焦距应小于         cm

  

    

三、实验探究题(第21、22小题各6分,第23、24小题各8分,共28分)

21.(6分)(1)在测量水温度的实验中,某同学的做法如图甲所示。该做法存在的错误是         ;改正错误后,温度计的示数如图乙所示,则水的温度为             ℃


(2)在测量物体平均速度的实验中,实验时,同学们发现木块运动时间太短,为了方便测量时间,减小实验误差,可以                       


22.(6分)如图甲是小明、小红两名同学分别探究“水的沸腾”的实验装置,她们所用的器材规格完全相同

(1)安装实验器材时,应按照         的顺序进行(选填“自下而上”或“自上而下”)。
(2)安装好器材开始实验后,小红如图甲所示进行读数,其错误之处是:读数时,视线没有与温度计中液柱的上表面         ;读数时小明发现A点有小水滴影响读数,而按乙图改进后可以顺利读数。


(3)图丙是两名同学根据实验数据绘制的水温随时间变化的图像,若小明和小红所选水的质量分别为m1、m2,根据图像丙分析可知m1         m2(选填“>”、“<”或“=”)


23.(8分)小萝莉同学用焦距为10cm的凸透镜做“探究凸透镜成像的规律”实验

(1)实验过程中,当蜡烛与凸透镜的距离如图甲所示时,在光屏上可得到一个清晰的倒立、         的实像。


(2)如图乙所示,保持蜡烛位置不变,移动透镜至16cm刻度线处,则人眼在         (填 “A、B、C”)处能观察到蜡烛的像,像是如图丙中的         (选填“1、2、3、4”)。


(3)实验完成之后,小莉把自己的近视眼镜放在蜡烛与凸透镜之间,如图丁所示,光屏上原来清晰的像变得模糊了,若想在光屏上重新得到清晰的像,在不改变蜡烛和凸透镜位置的情况下,应将光屏         凸透镜。(选填“靠近”或“远离”)


24.(8分)小明用天平、烧杯和量筒测牛奶的密度,下图从左向右表示了他主要的操作过程。

(1)调节天平平衡时,指针偏左,应将平衡螺母向           移动。
(2)小明先测出空烧杯的质量,然后将牛奶倒入空烧杯中,再测烧杯和牛奶的总质量是         g
(3)测出牛奶密度为            kg/m3

(4)测出的密度比牛奶的实际密度偏            四、计算题(25小题6分,26、27小题各8分,共22分)
25.(6分)一辆汽车以恒定的功率在平直的公路上做直线运动,其v-t图象如图所示,在第10s时速度达到20m/s,通过的路程为120m。求
(1)在0-10s内汽车的平均速度?
(2)求20s内的平均速度?

   

                                              

26、(8分)有一个体积为4×10-3m3的铜球,其质量为17.8kg。(1)试判断这个铜球是空心的还是实心的?(2)如果是空心的,在空心部分注入酒精,总质量为多少?(ρ铜=8.9×103kg/m3,ρ酒精=0.8×103kg/m3)


27.(8分)有一只容积为500cm3的瓶中已盛260g的水,小亮小朋友向瓶中投了25块质量相同小石子后,水面上升到瓶口,已知每块小石子的质量为24g,求:
(1)瓶内石子的总体积。
(2)石子的密度。



参考答案:

1~15:DBBCB   ACCAC   ABADA

16.音色    凸

17.  4    不变

18. 汽化    放出

19.折射   绿

20.凸    50

21.(1)温度计的玻璃泡没有浸没在待测液体中     22

(2)将斜面坡角减小

22.(1)自下而上(2)相平(3)<

23.(1)放大  (2)B   4   (3)远离

24.(1)右  (2)152.4   (3)1.224×103kg/m3    (4)大

25.(1)12m/s  (2)16m/s

26.(1)空心 (2)19.4㎏

27.(1)240㎝3  

(2)2.5g/cm3




人教版八年级物理下册期末试题12

一、选择题

1.在水中划船时,使船前进的动力是(  )

A.船桨对水的推力B.人对船的推力

C.水对桨的推力D.水直接对船的推力

2.用一水平推力推矿泉水瓶的下部,水瓶会沿桌面滑动,用同样大小的水平推力推矿泉水瓶的上部,水瓶会翻倒.这说明力的作用效果与(  )

A.力的大小有关B.力的方向有关

C.力的作用点有关D.受力面积有关

3.建筑工人砌墙时,常利用重垂线来检查墙砌的是否竖直,这是利用了(  )

A.重力的大小B.重力的方向总是竖直向下的

C.重力的作用点D.以上说法都不是



6.下列现象中属于减小压强的是(  )

A.锯、斧头、剪刀等用过一段时间要磨一磨

B.推土机的推土铲刃做的很锋利

C.图钉尖做的很细、很尖

D.书包带扁而宽,而不用细绳



10.如姿同学在整理物理笔记时,有如下四句话其中错误的是(  )

A.成年人步行速度约为1m/s

B.一个中学生体重约为450N

C.用手托起两个鸡蛋的力约为0.1kg

D.功和能的单位都是焦耳

12.潜水艇是靠改变自身重力大小来实现上浮下沉的,那么,潜艇在水面下下潜过程中,有关潜艇所受浮力和压强变化正确的是 (  )

A.浮力变大,压强变大B.浮力变小,压强变小

C.浮力不变,压强不变D.浮力不变,压强变大

13.下列现象不是利用大气压的是(  )

A.用吸管吸饮料B.吸盘贴在光滑的墙壁上

C.墨水被吸进钢笔D.用磁铁把铁钉从水里吸出来

14.利用如图机械,提升同一重物G,(不计机械本身的重力和摩擦),所需拉力F最大的是(  )

ABCD

15.毛泽东的《沁园春雪》气势磅礴,其中有一句一代天骄,成吉思汗,只识弯弓射大雕.从能量转化的角度来看,弯弓射箭的过程是(  )

A.动能转化为重力势力B.弹性势能转化为动能

C.重力势能转化为动能D.动能转化为弹性势能

16.运动员跳运时总是先助跑一段距离后再起跳,这是为了(  )

A.利用惯性B.克服惯性C.增大惯性D.减小惯性

17.某同学静止站在磅秤上,在下列几对力中,属于平衡力的是(  )

A.人的重力与磅秤对人的支持力

B.人对磅秤的压力与磅秤对人的支持力

C.磅秤的重力与磅秤对人的支持力

D.人的重力与人对磅秤的压力

18期间,小莉和同学们到新宁崀山旅游时进行了一场登山比赛.下列有关功率的说法正确的是(  )

A.用时最短的功率最大B.速度最快的功率最大

C.体重最大的功率最大D.做功最快的功率最大


二、填空题(本大题共8小题,每空1分共16分)

23.一辆装满货物的直升运输机总重为3t,当它抵达抛投地点时,飞机开始匀速下降准备空投物质.那么飞机在匀速下降过程中所受空气阻力是N,当飞机空投完物资后,开始匀速上升准备返回基地,飞机在匀速上升过程中受到的空气阻力飞机匀速下降过程中受到的空气阻力.(填大于”“小于等于

24.一箱子重200N,小红把它从地面沿着18m长的楼梯搬到10m高的楼上,小红对箱子做了J的功;接着她又提着箱子沿水平方向移动了20m,小红对箱子又做的功是 J

25.在书包重力一定的情况下,宽的书包带比窄的书包带用起来舒服一些,这是因为通过从而的缘故.

26.小明爸爸到外地出差时带回一个如图所示工艺考究的紫砂壶,它的壶身和壶嘴构成一个,妈妈在清洗茶壶时,不小心把戒指掉进了茶壶内,戒指在水中下沉的过程中受到的浮力(填大于”“等于小于)它的重力.

1)如图甲、乙,先用弹簧测力计吊着石块,弹簧测力计的示数为l.6N,然后让石块完全浸没在水中,弹簧测力计的示数变为1N.则石块受到水的浮力为N

2)如图丙,用弹簧测力计缓慢将石块拉出水面,随着石块露出水面的体积越来越大,观察到弹簧测力计的示数也越来越大,则石块受到水的浮力越来越(选填).说明浮力的大小与石块浸入水中的体积(填有关无关).

3)通过比较图乙和图,可以探究浮力大小跟液体密度是否有关.

30.(6分)如图所示是研究影响滑动摩擦力大小的因素的实验.实验中用到了一个弹簧测力计、一块木块、一个珐码、两块材料相同但表面粗糙程度不同的长木板.

1)实验中,应该用弹簧测力计水平拉动木块,使它沿长木板做  运动,根据同学们学过的  知识,就可以知道滑动摩擦力的大小.

2)分析甲、乙两次实验数据可以得出,接触面粗糙程度相同时,滑动摩擦力大小与  有关.

31.(6分)某学习小组对影响压力作用效果的因素进行了探究,他们采取了如下的方法:甲图把小桌放在海绵上;乙图在小桌上放一个砝码;丙图把小桌翻过来,桌面朝下并在它上面放一个砝码.通过海绵被压下的深浅显示压力作用效果.

1)比较两图可知,当受力面积一定时,压力越大,压力的作用效果越明显;

2)此实验(选填不能)用硬纸板代替海绵,原因是;

3)此实验中运用到的主要科学方法是.(写出一种)

请问:

1)从质量角度来看,小猴有没有吃亏?答:.

2)从图乙可看出,造成上述现象的原因是:A端重力的力臂(选填大于小于等于B端重力的力臂,根据杠杆平衡的条件可得出:A端的质量(选填大于小于等于B端的质量.


四、计算题.(共2题,每题9分合计18分)

33.(9分)如图所示,小红在冰场上快速滑行,她在10秒内滑行了80米,她和冰刀的总质量为50千克,每只冰刀与冰面的接触面积为10厘米2g10N/kg,求

1)小红在10秒内滑行的平均速度?

2)小红对冰面的压力?

3)小红在冰面上双脚滑行时对冰面的压强?



人教版八年级物理下册期末试题13


(满分:100分  时间:45分钟)


题 号

总 分

得 分







一、填空题(每空2,32;将答案直接填写在横线上,不必写出解题过程)


1.如果有乘客在公交车上吃具有浓重味道的食品。食品的浓重味道会很快充满整个车厢,使某些乘客感到有些吃不消”,请用分子动理论的知识对该现象进行解释:_______ 

2.大型载重平板车都装有很多车轮,这是通过增大______ 的方式减小对路面的___,以免损坏路面。 

3.五一期间小明爸爸带全家自驾游,在行车时小明看到他爸爸方向盘前的中控台上放有两包香烟,如图甲;某时刻他看到香烟突然向中控台的左侧移动,如图乙。此时是因为车突然_____(选填加速”“减速”“左转右转”)而因_____造成的。 


4.小金将长为0.6 m、质量可忽略不计的木棒搁在肩上,棒的后端A挂一个重40 N的物体,肩上支点O离后端A的距离为0.2 m,他用手沿竖直方向压住前端B使木棒保持水平平衡,如图所示,小金的质量为50 kg,则此时手压木棒的压力大小为___N 

5.如图,空中的加油机正在给战机加油,以加油机为参照物,战机是____(选填运动静止”)的。因为流速越大压强越____的原因,导致飞机机翼上、下表面存在压强差,所以飞机能够在空中飞行。 

6.根据如图提供的图文信息,可以揭示的物理规律是____ 


7.形状不规则的石块静止在水平桌面上,O为重心。请画出它所受力的示意图。

8.在平静的池水中漂浮有一个木球,木球的体积为4 dm3,露出水面的体积为总体积的1/4,那么木球受到的浮力为____N,木球的密度为____kg/m3(g=10 N/kg) 

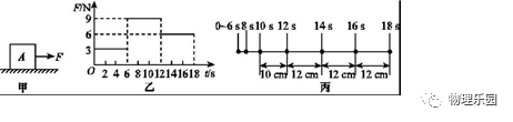
9.物块A静止在粗糙程度均匀的水平桌面上,如图甲所示,物块A受到水平拉力F的作用,拉力F随时间t变化关系如图乙所示。
小萍从
t=0开始,每隔2 s记录一次物块A的位置(“·”表示物块A),如图丙所示。
6 s~12 s内物块所受的摩擦力为____N,10 s~14 s内物块的平均速度为___cm/s 


 

10.小可在A端用如图所示的动滑轮匀速提起200 N的水桶,若不计绳重、滑轮重及摩擦,则小可拉绳子A端的动力为____N;实际测得A端的拉力为110 N,不计绳重及摩擦,则滑轮重为___N

二、选择题(每小题3,21;每小题给出的四个选项中,只有一个选项符合题意,请把符合题意的选项序号填入下列表格内,答案未填入表格内的不能得分)


题 号

11

12

13

14

15

16

17

答 案








 

11.共享单车是节能环保的交通工具。关于小秦骑共享单车上学的情形,下列说法正确的是

A.小秦骑行的速度最高可以达到50 m/s

B.小秦骑车转弯时,运动状态没有发生改变

C.小秦下坡时不蹬车,单车越来越快是因为惯性增大

D.小秦在骑行过程中,相对于路旁的建筑物是运动的

12.你站在地球表面,大气对你正面的压力大约是

A.60 N 

B.600 N

C.6000 N

D.60000 N

13.如图,物体甲从A点沿直线运动到B,再从B点沿直线运动到C,物体乙沿直线直接从A点运动到C,则两物体从AC的运动过程中

A.路程相等,位置的变化相同

B.路程不等,位置的变化相同

C.路程相等,位置的变化不同

D.路程不等,位置的变化不同 

14.下列关于运动和力的说法正确的是

A.气体和液体、固体一样也有惯性

B.如果运动的物体不受外力作用,它将慢慢停下来

C.风吹树叶沙沙响,说明不接触的物体之间也有力的作用

D.竖直上抛的物体运动到最高点时速度为0,此刻物体处于静止状态

15.如图所示,小红站在商场匀速向上运动的自动扶梯上,她受到的力有


A.重力和支持力      

B.重力、支持力和水平向右的摩擦力

C.重力、支持力和水平向左的摩擦力

D.重力、支持力和斜向上的摩擦力

16.在一支平底试管内装入适量铁砂,然后将其先后放入装有甲、乙两种不同液体的烧杯中,试管静止时的状态如图所示。下列说法正确的是

A.试管在甲液体中受到的浮力较大   

B.试管在乙液体中受到的浮力较大

C.装有甲液体的烧杯底部所受压强较大                      

D.装有乙液体的烧杯底部所受压强较大

17.如图所示,一个放有砝码的容器浮在水槽的水面上,容器底部到水面的距离为h,当不断地向水中加入食盐时,下列能正确反映h与食盐质量m之间关系的是 

            


三、实验题(18小题8,19小题8,20小题8,24)


18.如图1所示是探究动滑轮工作时的特点的实验装置。

(1)实验时,应竖直向上拉动使钩码____上升; 

(2)小军记录的数据如下表,分析数据可知,使用动滑轮可以____ 


实验次数

1

2

3

钩码重/N

2

4

6

测力计示数/N

1.1

2.1

3.1

 

(3)小军继续实验,并作出拉力与钩码重的比值随钩码重的变化图像,如图2所示。分析图像可知,钩码越重,拉力与钩码重的比值就越接近____(填数值),由此他推理得出:在不计动滑轮重时,使用动滑轮可以省____的力。 

19.如图是测量小车沿斜面下滑的平均速度的实验装置。

(1)该实验的原理是___ 

(2)该实验的目的是使用刻度尺和____测量平均速度。实验时可观察到小车沿斜面顶端下滑到斜面底端的运动是____(选填匀速变速”)直线运动; 

(3)实验中测得小车通过路程s1的平均速度为v1,通过路程s3的平均速度为v3,v1v3的大小关系是_____ 

20.小彤在探究影响浮力大小因素时,做了如图甲所示的实验,请你根据小彤的实验探究回答下列问题:

(1)要研究浮力与物体排开液体体积的关系,则需要分析图A____两图的数据; 

(2)实验结束后,小彤绘制了弹簧测力计对物体A的拉力和物体A所受浮力随浸入液体深度变化的图线,如图乙所示(ρ=1.0×103 kg/m3,g=10 N/kg)。分析图像可知:

①曲线____(选填ab”)描述的是物体A所受浮力的变化情况; 

②该物体所受的重力为____N,密度为____kg/m3 


四、计算与推导题(21小题6,22小题8,23小题9,23)


21.物体做变速直线运动可以等效看成物体做匀速直线运动,此匀速直线运动的速度称为平均速度,等于总路程除以总时间。小明从家到学校的路上,前一半路程的平均速度是v1,后一半路程的平均速度是v2,请推导出小明全程的平均速度:


22.如图甲,一重为G的物体静止在水平地面上,用一细线竖直向上拉物体,拉力的大小为F

(1)F<G,FGF之间的关系;

(2)G=30 N,将细线竖直系在质量不计的杠杆A,O为杠杆的支点,已知AO=2BO,要使地面对物体的支持力为零,应在B端竖直向下施加多大的力(杠杆始终保持水平)?




23.重为8 N的物体挂在弹簧测力计下面,浸没在如图所示的圆柱形容器内的水中,此时弹簧测力计的示数为6 N,已知容器的底面积为100 cm2(g=10 N/kg)。求:

(1)物体受到的浮力;

(2)物体的密度;

(3)物体浸没在水中后,容器对水平桌面增大的压强。



一、填空题(每空2,32;将答案直接填写在横线上,不必写出解题过程)


1.
分子在永不停息地做无规则运动  

2.
受力面积 压强 

3.
右转 惯性  

4.

20 


5.

静止  小 


6.

力的作用是相互的 


7.


8.
30   0.75×103

9.
6  5.5 

10.
100   20  



二、选择题(每小题3,21;每小题给出的四个选项中,只有一个选项符合题意,请把符合题意的选项序号填入下列表格内,答案未填入表格内的不能得分)


题 号

11

12

13

14

15

16

17

答 案

D

D

B

A

A

D

C

           

三、实验题(18小题8,19小题8,20小题8,24)


18.


(1)匀速 

(2)省力

(3)0.5 一半


19.

(1)

(2)停表(或秒表)   变速

(3)v3>v1


20.

(1)BC

(2)

a

8    4×103


四、计算与推导题(21小题6,22小题8,23小题9,23)


21.

22.:

(1)物体受到三个力的作用:竖直向上的支持力F、拉力F和竖直向下的重力G

FF的合力向上,大小为:
F=F+F

物体保持静止,根据平衡条件可得:
F=G   
F=G-F

又因为力的作用是相互的,所以
F=F=G-F

(2)当支持力F=0,绳的拉力
F=G

根据杠杆的平衡条件可得:
F·AO=F'·BO  
F'=·F=2F=2G=60 N

23.解:




人教版八年级物理下册期末试题14


篇幅有限,展示到此,敬请下载


往期资料推荐



1-9年级(上下册)各科目电子课本

7~9年级语文(上下)全册图文视频

7~9年级数学(上下册)图文视频(各版本)

7~9年级英语(上下)全册图文微课(各版本)

1-9年级英语基础音标+口语发音教程

7-9年级道德与法治(上下)全册图文

7-9年级历史(上下)全册图文微课

8~9年级物理(上下)册图文视频

7~8年级地理(上下)全册图文微课

7~8年级生物(上下)全册图文微课

9年级 化学(上下)册图文微课

1~9年级 美术(下)册全册微课

1~9年级各科目全册教案汇编

1-9中小学班主任工作包汇总(2568份班会课件)


领取方法1



第一步:长按二维码关注中小学师生

第二步:在公众号对话框输入“31下载


领取方法2

打不开百度网盘链接的地区

可长按扫码直接进入下载


电脑端下载网址

http://jazpan.com/box/654.html

图文来自网络,版权归原作者,如有不妥,告知即删

点击阅读原文下载全册PPT课件教案习题朗读试卷电子课本等资源

→→中学生辅导答疑 点这里

1→ 统编教材配套课外阅读书籍

2→ 难懂的数学概念一眼看明白