<
【知识点】人教版八年级数学(上)册知识点2 |可下载-一点通教学网
我的
【知识点】人教版八年级数学(上)册知识点2 |可下载

点击上面图片进入新学期课程预习!
 
各科同步辅导,微课视频|知识点,更多的精彩资源,请关注“中小学师生”
关注公众号后,每天自动接收同步资源。方法1:本文最底部按住二维图片不松识别关注二微码;2、点击公众号文章标题下的蓝字(公众号名称),点开后再点关注。

下载电子版请拉到文末

下载电子版请拉到文末

下载电子版请拉到文末


【电子课本】部编版道德与法治八年级(上册)

【预习】 部编道德与法治八年级(上)全册图文微课+课件教案

【预习】 部编版语文八年级(上)全册图文微课视频+课件教案
【预习】人教版数学八年级(上)全册图文视频讲解+课件教案
【预习】人教版英语八年级(上)全册微课精讲+课件教案
【预习】华师大版数学八年级(上)册 同步图文视频+课件教案
【预习】沪科版数学八年级(上)全册图文微课精讲+课件教案
【预习】人教版物理八年级(上)全册图文微课视频+课件教案
【预习】沪教版八年级物理全一册知识点精讲+课件教案
【预习】人教版八年级生物(上)册图文微课精讲+课件教案
【预习】人教版八年级历史(上)全册图文微课+课件教案
【预习 】人教版八年级地理(上)全册图文微课+课件教案



八年级数学上册课知识点复习提纲


第十一章  三角形

一、知识框架:

    

二、知识概念:

1.三角形:由不在同一直线上的三条线段首尾顺次相接所组成的图形叫做三角形.

2.三边关系:三角形任意两边的和大于第三边,任意两边的差小于第三边.

3.高:从三角形的一个顶点向它的对边所在直线作垂线,顶点和垂足间的线段叫做三角形的高.

4.中线:在三角形中,连接一个顶点和它对边中点的线段叫做三角形的中线.

5.角平分线:三角形的一个内角的平分线与这个角的对边相交,这个角的顶点和交点之间的线段叫做三角形的角平分线.

6.三角形的稳定性:三角形的形状是固定的,三角形的这个性质叫三角形的稳定性.

7.多边形:在平面内,由一些线段首尾顺次相接组成的图形叫做多边形.

8.多边形的内角:多边形相邻两边组成的角叫做它的内角.

9.多边形的外角:多边形的一边与它的邻边的延长线组成的角叫做多边形的外角.

10.多边形的对角线:连接多边形不相邻的两个顶点的线段,叫做多边形的对

角线.

11.正多边形:在平面内,各个角都相等,各条边都相等的多边形叫正多边形.

12.平面镶嵌:用一些不重叠摆放的多边形把平面的一部分完全覆盖,叫做用

多边形覆盖平面,

13.公式与性质:

⑴三角形的内角和:三角形的内角和为180°

⑵三角形外角的性质:

性质1:三角形的一个外角等于和它不相邻的两个内角的和.

性质2:三角形的一个外角大于任何一个和它不相邻的内角.

⑶多边形内角和公式:边形的内角和等于·180°

⑷多边形的外角和:多边形的外角和为360°.

⑸多边形对角线的条数:①从边形的一个顶点出发可以引条对角

线,把多边形分成个三角形.②边形共有条对角线.


第十二章  全等三角形

一、知识框架:

  

二、知识概念:

1.基本定义:

⑴全等形:能够完全重合的两个图形叫做全等形.

⑵全等三角形:能够完全重合的两个三角形叫做全等三角形.

⑶对应顶点:全等三角形中互相重合的顶点叫做对应顶点.

⑷对应边:全等三角形中互相重合的边叫做对应边.

⑸对应角:全等三角形中互相重合的角叫做对应角.


2.基本性质:

⑴三角形的稳定性:三角形三边的长度确定了,这个三角形的形状、大小就全确定,这个性质叫做三角形的稳定性.

⑵全等三角形的性质:全等三角形的对应边相等,对应角相等.

3.全等三角形的判定定理:

⑴边边边():三边对应相等的两个三角形全等.

⑵边角边():两边和它们的夹角对应相等的两个三角形全等.

⑶角边角():两角和它们的夹边对应相等的两个三角形全等.

⑷角角边():两角和其中一个角的对边对应相等的两个三角形全等.

⑸斜边、直角边():斜边和一条直角边对应相等的两个直角三角形全等.

4.角平分线:

⑴画法:

⑵性质定理:角平分线上的点到角的两边的距离相等.

⑶性质定理的逆定理:角的内部到角的两边距离相等的点在角的平分线上.

5.证明的基本方法:

⑴明确命题中的已知和求证.(包括隐含条件,如公共边、公共角、对顶

角、角平分线、中线、高、等腰三角形等所隐含的边角关系)

⑵根据题意,画出图形,并用数字符号表示已知和求证.

⑶经过分析,找出由已知推出求证的途径,写出证明过程.


第十三章  轴对称

一、知识框架:

    

二、知识概念:

1.基本概念:

⑴轴对称图形:如果一个图形沿一条直线折叠,直线两旁的部分能够互相

重合,这个图形就叫做轴对称图形.

⑵两个图形成轴对称:把一个图形沿某一条直线折叠,如果它能够与另一

个图形重合,那么就说这两个图形关于这条直线对称.

⑶线段的垂直平分线:经过线段中点并且垂直于这条线段的直线,叫做这

条线段的垂直平分线.

⑷等腰三角形:有两条边相等的三角形叫做等腰三角形.相等的两条边叫

做腰,另一条边叫做底边,两腰所夹的角叫做顶角,底边与腰的夹角叫做

底角.

⑸等边三角形:三条边都相等的三角形叫做等边三角形.

2.基本性质:

⑴对称的性质:

①不管是轴对称图形还是两个图形关于某条直线对称,对称轴都是任何一

对对应点所连线段的垂直平分线.

②对称的图形都全等.

⑵线段垂直平分线的性质:

①线段垂直平分线上的点与这条线段两个端点的距离相等.

②与一条线段两个端点距离相等的点在这条线段的垂直平分线上.

⑶关于坐标轴对称的点的坐标性质


.

⑷等腰三角形的性质:

①等腰三角形两腰相等.

②等腰三角形两底角相等(等边对等角).

③等腰三角形的顶角角平分线、底边上的中线,底边上的高相互重合.

④等腰三角形是轴对称图形,对称轴是三线合一(1条).

⑸等边三角形的性质:

①等边三角形三边都相等.

②等边三角形三个内角都相等,都等于60°

③等边三角形每条边上都存在三线合一.

④等边三角形是轴对称图形,对称轴是三线合一(3条).

3.基本判定:

⑴等腰三角形的判定:

①有两条边相等的三角形是等腰三角形.

②如果一个三角形有两个角相等,那么这两个角所对的边也相等(等角对

等边).

⑵等边三角形的判定:

①三条边都相等的三角形是等边三角形.

②三个角都相等的三角形是等边三角形.

③有一个角是60°的等腰三角形是等边三角形.

4.基本方法:

⑴做已知直线的垂线:

⑵做已知线段的垂直平分线:

⑶作对称轴:连接两个对应点,作所连线段的垂直平分线.

⑷作已知图形关于某直线的对称图形:


⑸在直线上做一点,使它到该直线同侧的两个已知点的距离之和最短.


第十四章  整式的乘除与分解因式

一、知识框架:

    


第十五章  分式

一、知识框架 :


二、知识概念:

2.分式有意义的条件:分母不等于0.
3.分式的基本性质:分式的分子和分母同时乘以(或除以)同一个不为0的整式,分式的值不变.
4.约分:把一个分式的分子和分母的公因式(不为1的数)约去,这种变形称为约分.
5.通分:异分母的分式可以化成同分母的分式,这一过程叫做通分.
6.最简分式:一个分式的分子和分母没有公因式时,这个分式称为最简分式,约分时,一般将一个分式化为最简分式.
7.分式的四则运算:
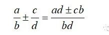
⑴同分母分式加减法则:同分母的分式相加减,分母不变,把分子相加减.用字母表示为:

⑵异分母分式加减法则:异分母的分式相加减,先通分,化为同分母的分
式,然后再按同分母分式的加减法法则进行计算.用字母表示为:

    

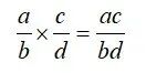
⑶分式的乘法法则:两个分式相乘,把分子相乘的积作为积的分子,把分
母相乘的积作为积的分母.用字母表示为:

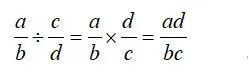
⑷分式的除法法则:两个分式相除,把除式的分子和分母颠倒位置后再与
被除式相乘.用字母表示为:

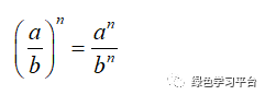
⑸分式的乘方法则:分子、分母分别乘方.用字母表示为:

8.整数指数幂:

9.分式方程的意:分母中含有未知数的方程叫做分式方程.
10.分式方程的解法:①去分母(方程两边同时乘以最简公分母,将分式方程化为整式方程);②按解整式方程的步骤求出未知数的值;③验根(求出未知数的值后必须验根,因为在把分式方程化为整式方程的过程中,扩大了未知数的取值范围,可能产生增根).



此份资料非常齐全

建议老师家长都领一份



往期资料推荐



1-9年级(上下册)各科目电子课本

7~9年级语文(上下)全册图文视频

7~9年级数学(上下册)图文视频(各版本)

7~9年级英语(上下)全册图文微课(各版本)

1-9年级英语基础音标+口语发音教程

7-9年级道德与法治(上下)全册图文

7-9年级历史(上下)全册图文微课

8~9年级物理(上下)册图文视频

7~8年级地理(上下)全册图文微课

7~8年级生物(上下)全册图文微课

9年级 化学(上下)册图文微课

1~9年级 美术(下)册全册微课

1~9年级各科目全册教案汇编

1-9中小学班主任工作包汇总(2568份班会课件)


领取方法1


第一步:长按二维码关注中小学师生

第二步:在公众号最下面对话框输入0026下载


领取方法2

打不开百度网盘链接的地区

可长按扫码直接进入下载


电脑端下载网址

http://jazpan.com/box/691.html

(回复关键词位置如下图所示)‍


图文来自网络,版权归原作者,如有不妥,告知即删

点击阅读原文下载全册PPT课件动画教案习题朗读试卷电子课本整套资料

→→中学生辅导答疑 点这里

1→ 统编教材配套课外阅读书籍

2→ 难懂的数学概念一眼看明白