<
高中物理《带电粒子在电场中的运动》微课精讲+知识点+教案课件+习题-一点通教学网
我的
高中物理《带电粒子在电场中的运动》微课精讲+知识点+教案课件+习题

语文

数学

英语

物理

化学

生物

史地

政治

道德与法治

美术

音乐

科学全部课程 

知识点:

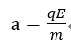
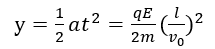
一、 带电粒子在电场中的加速

1. 在匀强电场中加速,可用牛顿第二定律求出加速度,结合运动学公式求解.

基本方程:


2. 在非匀强电场中的加速运动一般受变力的作用,可根据电场力对带电粒子所做的功引起带电粒子能量的变化,利用动能定理、功能关系求解.

基本方程:


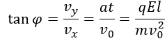
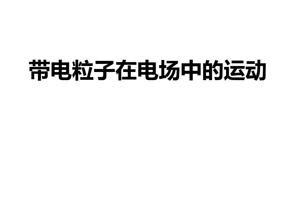
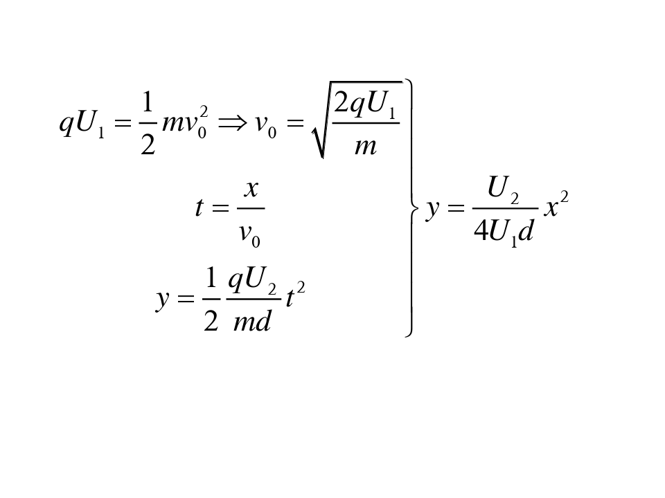
二、 带电粒子在电场中的偏转

1. 运动状态分析:带电粒子以速度v0垂直于电场线方向飞入匀强电场时,受到恒定的与初速度方向成90°角的电场力作用而做匀变速曲线运动(轨迹为抛物线).

2. 分析处理方法:用类似平抛运动的分析方法分解运动.

沿初速度方向:做速度为v0的匀速直线运动.

沿电场力方向:做初速度为零的匀加速直线运动.


视频教学:


考点:

带电粒子在电场中的运动


带电粒子的偏转

在真空中放置一对金属板,两极板接到电源上,于是两板间出现电场。现有一个带电粒子射入电场,它受到的静电力方向和速度方向不一致,因此发生偏转。



加速度:      

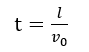
运动时间:

侧移量:

偏转角正切值:

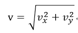
出射速度:



1.如图所示的电场中,虚线为某带电粒子只在电场力作用下的运动轨迹,a、b、c是轨迹上的三个点,则(  )



A.粒子一定带正电                      

B.粒子一定是从a点运动到b点

C.粒子在c点加速度一定大于在b点加速度

D.粒子在电场中c点的电势能一定小于在b点的电势能

 

AC

解析

带电粒子在电场中运动时,受到的电场力的方向指向运动轨迹的弯曲的内侧,由此可知,此带电的粒子受到的电场力的方向为沿着电场线向左,所以此粒子为正电荷,故A正确;


粒子不一定是从a点沿轨迹运动到b点,也可能从从b点沿轨迹运动到a点.故B错误.


由电场线的分布可知,电场线在c点处较密,所以在c点的电场强度大,粒子在c处受到的电场力大,所以粒子在c点加速度一定大于在b点加速度,故C正确.


粒子从c到b过程,电场力做正功,根据动能定理,动能增大,电势能减小,所以粒子在电场中c点的电势能一定大于在b点的电势能,故D错误.


2. 从t=0时刻起,在两块平行金属板间分别加上如图所示的交变电压,加其中哪种交变电压时,原来处于两板正中央的静止电子不可能在两板间做往复运动(   )



D

解析

电子在电场中的加速度大小:


时间内,A板的电势高于B板,电子受到向左的电场力,向左做加速度减小的加速运动,时刻速度最大;


时间内,电子向左做加速度增加的减速运动,时刻速度减为零;


时间内,电子反向做加速度减小的加速运动,时刻速度最大;


时间内,向右做加速度增大的减速运动,T时刻速度减为零,回到原位置,然后电子不断重复,能做往复运动.


同理可以分析得出:B、C中,电子也做往复运动,故ABC中电子做往复运动.在时间内,电子向左做加速运动;


时间内,电子向左减速运动,T时刻速度减为零;接着重复,电子单向直线运动;故D不可能做往返运动


3. A、B是一条电场线上的两个点,一带负电的粒子仅在电场力作用下以一定的初速度从A点沿电场线运动到B点,其速度v和时间t的关系图象如图所示.则此电场的电场线分布可能是 ( )


    



A

解析

由图象可知,速度在逐渐减小,图象的斜率在逐渐增大,故此带负电的微粒做加速度越来越大的减速直线运动,所受电场力越来越大,受力方向与运动方向相反.A正确


一带负电的粒子以某一初速度垂直于匀强电场方向飞入极板间.下列说法中正确的是(  )



A.粒子向正极板偏转

B.电场力对粒子做负功

C.粒子在电场中做匀速直线运动

D.粒子在电场中运动的轨迹是圆弧


A

解析

极板间的电场方向是竖直向下,由于粒子带负电,所以受到的电场力竖直向上,故粒子向正极板偏转,A正确;


粒子在竖直方向上做初速度为零的匀加速直线运动,在竖直方向上的速度越来越大,所以电场对其做正功,B错误;


由于粒子在电场中受力不平衡,做类平抛运动,C错误;


粒子在电场中的轨迹为抛物线,D错误;


如图所示,真空中相距d=5 cm的两块平行金属板A、B与电源连接(图中未画出),其中B板接地(电势为零),A板电势变化的规律如图所示.





将一个质量m=2.0×10-23 kg,电量q=+1.6×10-15C的带电粒子从紧临B板处释放,不计重力.求:



(1)在t=0时刻释放该带电粒子,释放瞬间粒子加速度的大小;



(2)若在t=时刻从紧临B板处无初速释放该带电粒子,粒子恰好不能到达A板,试求 A板电势变化的周期为多大?


(1)(2)


解析

电场强度:,且 解得:


(2)带电粒子在向A板做匀加速运动,在向A板做匀减速运动,速度减为零后将返回,粒子向A板运动可能的最大位移: 

要求粒子恰好不能到达A板,有,s=d

解得: 


要点一:带电粒子在电场中运动时物理量的比较

该种类型题目的分析方法是:

(1)先画出入射点轨迹的切线,即画出初速度v0的方向,再根据轨迹的弯曲方向,确定电场力的方向,进而利用力学分析方法来分析其他有关的问题.

(2)若已知电场线的分布,则可以根据电场线的疏密来判断场强的大小,再根据牛顿第二定律可以比较加速度大小.

(3)电势能的变化可根据电场力做功的情况判断,动能的变化则根据合外力做功的情况判断.

(4)若带电粒子仅受电场力作用,则运动过程中,带电粒子只有动能与电势能之间的相互转化,两者总量守恒.

 

要点二:带电粒子在电场中的直线运动分析

带电粒子在电场中做直线运动的分析方法与力学中的这类问题的处理方法相同,只是在受力分析时增加一个电场力(对于基本粒子一般还可以忽略其重力).

(1) 带电粒子在电场中的平衡问题的解题步骤

选取研究对象进行受力分析,注意电场力的方向特点由平衡条件列方程求解

(2) 带电粒子在电场中的变速直线运动

可用运动学公式和牛顿第二定律求解或从功能关系角度用动能定理或能量守恒定律求解.

例 如图所示,在A点固定一正电荷,电荷量为Q,在离A高度为H的C处由静止释放某一带同种电荷的液珠,开始运动瞬间,液珠的加速度大小恰好为重力加速度g.已知静电力常量为k,两电荷均可看成点电荷,不计空气阻力.求:

(1) 液珠的比荷.

(2) 液珠速度最大时离A点的距离h.

(3)若已知在点电荷Q的电场中,某点的电势可表示成,其中r为该点到电荷Q的距离(选无限远处电势为零).求液珠能到达的最高点B离A点的高度rB.

思维轨迹:



解析:(1) 设液珠的电荷量为q,质量为m,由题意知,当液珠在C点释放时

解得液珠的比荷为

要点三:带电粒子在电场中的曲线运动分析


    1. 带电粒子在电场中仅受电场力的偏转运动分析:垂直射入匀强电场的带电粒子,在电场中,只受电场力的作用,运动性质与重力场中的平抛运动相类似,研究这类问题的基本方法是将运动进行分解,根据每一个分运动的规律和特点,选择恰当方法加以解决.

2. 带电粒子在电场中的圆周运动分析:带电粒子在电场中的运动轨迹为一段圆弧(或在电场中做圆周运动),处理此类问题时,若求解速度或动能,从动能定理入手;若求解受力情况用向心力公式,利用沿半径方向的合力提供向心力列方程求解.

3. 带电粒子在匀强电场和重力场中的曲线运动分析:用正交分解法将复杂的运动分解为相互垂直的直线运动.

例  如图所示为电子显示仪器(如示波器)的核心部件,部分为加速装置,阴极产生的热电子由静止开始经加速电压u1加速后,进入板长为l1,间距为d,电压为u2的偏转区域,距偏转区域右侧为l2的位置是荧光屏,电子轰击荧光屏能够显示出光斑.依据上述信息,求:

(1) 若偏转电压u2为稳定的直流电压,试推导Y(光斑到O的距离)的表达式.

(2) 若u2=kt,光斑在荧光屏上做什么运动?速度多大?

(3) 若u2=βt2,光斑在荧光屏上做什么运动?加速度多大?


思维轨迹:



 

要点四:带电粒子在交变电场中的运动问题分析


带电粒子在交变电场中受到的电场力随电场变化而变化,抓住电场力(加速度)随时间的变化规律,找准过渡量是解决这类问题的关键.通常的解题方法是:先分析粒子的受力特点和运动状态,然后画出速度时间图象,再结合速度时间图象的物理意义(如斜率、截距、图线所围面积等的物理意义)综合分析.但有时也要注意有些问题可能仅是不同时刻(或速度)的粒子对应着不同的电场.

例  如图甲所示,水平放置的平行金属板AB间的距离d=0.1 m,板长L=0.3 m,在金属板的左端竖直放置一带有小孔的挡板,小孔恰好位于AB板的正中间,距金属板右端x=0.5m处竖直放置一个足够大的荧光屏.现在AB板间加如图乙所示的方波形电压,已知U0=1.0×102 V,挡板的左侧有大量带正电的相同粒子以平行于金属板方向的速度持续射向挡板,粒子的质量m=1.0×10-7kg,电荷量q=1.0×10-2 C,速度大小均为v0=1.0×104 m/s,带电粒子的重力不计.

(1)求电子在电场中的运动时间.

(2)求在t=0时刻进入电场的粒子打在荧光屏上的位置到O点的距离.

(3)证明粒子离开电场时的速度均相同.

(4)若撤去左侧挡板,求荧光屏上出现的光带长度.

思维轨迹:(1)粒子垂直进入电场后,垂直于电场方向做匀速直线运动,根据极板长度和入射速度求出运动时间;(2) 研究粒子在交变电场中的偏转可分段进行计算,也可以画出v-t图象进行计算;(3)粒子进入电场后垂直电场方向的速度不变,平行电场方向的速度有偏转速度,欲证明粒子离开电场时的速度相同,只要证明平行电场方向的速度相同;(4) 粒子进入电场的时刻不同,所以离开电场时的位置不同,由第3小问的铺垫可知离开电场时速度方向都相同,但要注意分析粒子能否从上、下极板边缘离开电场.


(4)挡板撤去后,所有粒子离开电场的速度都相同(前一问所得).示意图如下:

根据粒子离开电场的速度大小方向都相同,判断打在荧光屏上面的光带长度为d-y\\'=0.095 m.

答案:(1) 3×10-5 s (2) 0.085 m (3) 略    (4) 0.095 m


练习:

如图所示,电子在电势差为U1的加速电场中由静止开始运动,然后射入电势差为U2的两块平行极板间的电场中,射入方向跟极板平行,整个装置处在真空中,重力可忽略,在满足电子能射出平行板区的条件下,下述四种情况中,一定能使电子的偏转角θ变大的是(    ) 

A.U1变大、U2变大

B.U1变小、U2变大  

C.U1变大、U2变小

D.U1变小、U2变小


2.光滑绝缘的圆形轨道竖直放置,半径为R,在其最低点A处放一质量为m的带电小球,整个空间存在匀强电场,使小球受到电场力的大小为√3mg/3方向水平向右,现给小球一个水平向右的初速度V0,使小球沿轨道向上运动,若小球刚好能做完整的圆周运动,求V0及运动过程中的最大拉力。


3.如图所示,在沿水平方向的匀强电场中有一固定点 O,用一根长度L=0.4m的绝缘细绳把质量为m=0.01kg、带有正电荷的金属小球悬挂在O点,小球静止在B点时细绳与竖直方向的夹角为θ=37°。现将小球拉至位置A使细线水平后由静止释放,求: 

⑴小球通过最低点C时的速度的大小; 

⑵小球通在摆动过程中细线对小球的最大拉力。


课件:


教案:

【教材分析】

《带电粒子在电场中的运动》是整个高中物理的重点和难点,是历年来高考的热点。由于它涉及到力与运动、相互作用以及能量等相关规律的灵活应用,所以这节内容对学生物理建模能力、空间想象能力、分析综合运用能力有较高的要求。另外,本节内容又是“带电粒子在电磁场中运动”这一专题中的重要组成部分,所以它是高三复习的重点内容之一。

【学情分析】

通过前面六章的复习,学生已具备分析处理物体在重力场中运动问题的能力。理解物体做直线运动、曲线运动的动力学条件;会用化曲为直的思想处理平抛运动;会用动力学方法、动能定理、能量守恒定律等规律分析解决物体做直线运动、曲线运动等问题。第七章前两节复习了电场力的性质和电场能的性质,学生对电场的基本知识已建立,但由于电场知识抽象,学生掌握不熟练。《带电粒子在电场中的运动》是动力学、能量、电场知识的综合应用,要求学生应用前面所学的这些规律解决电场中的问题,由于学生电场知识较为陌生与混乱,所以一接触到带电粒子在电场中运动的问题,较难应付,不知所措。

【素养目标】

1.物理观念:

①会在具体问题中判定带电粒子的重力是否可忽略;

学会借用平抛运动的分析方法研究带电粒子在匀强电场中的偏转

③学会运动力学法、能量观点等方法分析解决带电粒子在电场中的直线、曲线运动

2.科学思维:

①引导学生建立带电粒子垂直进入匀强电场中做类平抛运动,提高学生构建模型的意识和能力;

②能运用“类比”思维方法对带电粒子垂直进入匀强电场进行分析推理,得出偏移量y、偏转角等规律。

3.科学探究:

①在小组讨论中具有交流的意愿与能力,能准确表述自己的见解;

4.科学态度与责任:

①学生在积极参与和思考中体验获得答案的成就感,激发学习的信心与热情。

②了解静电除烟原理中涉及到的带电粒子在电场中的运动知识,体会物理对科学技术的重要性。

【教学重难点】

重点:①动力学方法分析带电粒子在匀强电场中的偏转规律

      ②用能量观点处理带电粒子在电场中的偏转

难点:①推导带电粒子打在光屏上时总偏移量Y

②带电微粒要考虑重力时,其运动的分析  

【教学方法】

演示实验法、类比法、启发讨论等

【教具准备】

感应起电机、两块铁片、导线、熏香、塑料瓶、铁架台、打火机、多媒体等

【教学过程】

36张高中物理实验动图,秒懂
高中物理必修选修学生用书电子版下载
人教版高中物理必修第一册微课+课件教案
人教版高中物理必修第二册微课+课件教案
人教版高中物理必修第三册微课+课件教案
人教版高中物理必修+选修电子课本汇编


图文来自网络,版权归原作者,如有不妥,告知即删

点击阅读原文下载全册PPT课件动画教案习题整套资料

→→中学生辅导答疑 点这里

1→ 统编教材配套课外阅读书籍

2→ 难懂的数学概念一眼看明白