<
高中数学《3.2 基本不等式》微课精讲+知识点+教案课件+习题-一点通教学网
我的
高中数学《3.2 基本不等式》微课精讲+知识点+教案课件+习题

语文

数学

英语

物理

化学

生物

史地

政治

道德与法治

美术

音乐

科学全部课程 ↓

知识点:

一、二元一次不等式表示平面区域



在平面直角坐标系中,已知直线1:Ax+By+C=0,坐标平面内的点P(xo,yo)。若有Ax+Byc+C=0,则点Р在直线1上;若有Axo+Byo+C>0或者Axo+Byo+C<0,则点Р在直线1的某一侧,即二元一次不等式Ax+By+C>0和Ax+By+C<0分别表示直线1两侧的平面区域。


通常把直线画成虚线以表示区域不包括边界直线,若画不等式Ax+By+C≥0或Ax+By+C<0表示的平面区域时,此区域包括边界直线,则把边界直线画成实线。




二、简单的线性规划问题和求解步骤



求线性目标函数在线性约束条件下的最大值或最小值的问题,通称为线性规划问题;满足线性约束条件的解(x,y)叫做可行解,由所有可行解组成的集合叫做可行域,生活实际中有许多问题都可以归纳为线性规划问题。


解线性规划问题的步骤如下:

第一步:在平面直角坐标系中作出可行域;

第二步:在可行域内找到最优解所对应的点;

第三步:求出目标函数的最大值或最小值。




三、利用线性规划解决实际问题的类型、步骤



利用线性规划来进行优化设计,解决生活中的实际问题通常有以下几种类型:

第一类:给定一定数里的人力、物力资源,分析怎样合理利用这些资源,才能使收到的效益最大;

第二类:给定一项任务,分析怎样安排,能使完成这项任务的人力、物力资源最小,还要根据条件求最优解,有时候还要分析整数解。


解线性规划应用题的步骤如下:

第一步:列表,转化为线性规划问题;

第二步:设出相关变元,列出线性约束条件对应的不等式(组),写出目标函数;

第三步:正确画出可行域,根据条件求出目标函数的最大值或最小值及对应的变元;

第四步:写出实际问题的答案。




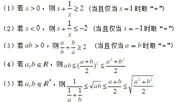
四、基本不等式



1、基本不等式原始形式

(1)若a,b∈R,则a²+b²≥2ab

(2)若a,b∈R,则ab≤(a²+b²)/2


2、基本不等式一般形式(均值不等式)


3、基本不等式的两个重要变形


4、求最值的条件:“一正,二定,三相等”


5、常用结论


视频教学:


练习:

1、分类讨论思想

例1.已知不等式,(1)求该不等式中x的集合;(2)若1不是不等式的解,0是不等式的解,求k的取值范围。

解:(1)

当k>1时,解集为

时,解集为

当k<1时,解集为

(2)

所以

小结:当一次项系数为0时,不等式成为两个常数比较大小的形式,与x取值无关。

因此,不等式的解集为R(不等式成立时)或(不等式不成立时)。


2、转化与化归思想

例2.已知a,b,c为正整数,且,求的值。

解:因为不等式两边均为正整数,所以不等式与不等式等价,这个等价不等式又可转化为

即a=2,b=3,c=6

小结:将等式与不等式对应等价转化,是转化数学问题的常用且非常有效的手段。


3、换元思想

例3.解不等式

解:若令

,且

∴不等式化为

解得

从而

∴不等式的解集是


4、数形结合思想

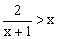
例4.设a<0为常数,解不等式

解:不等式转化为

令函数

其图象如图所示

解得(舍去)

∴两个函数图象的交点为

由图知,当时,函数的图象位于函数的图象的上方

∴不等式的解集是

小结:在不等式的求解过程中,换元法和图象法是常用的技巧。

通过换元,可将较复杂的不等式化归为较简单的不等式或基本不等式,

通过构造函数,数形结合,则可将不等式的解化归为直观、形象的图象关系。

对含有参数的不等式,运用图象法,还可以使得分类标准更加明晰。


5、方程思想

例5. 已知,求证

分析:结论可以转化为,恰好是一元二次方程有实根的必要条件。

解:由已知可化为,这表明二次方程有实根,从而需要判别式,即成立。


6、构造思想

例6. 解不等式

分析:本题若直接将左边通分采用解高次不等式的思维来做,运算较繁杂。

但注意到,且题中出现

启示我们构造函数去投石问路。

解:将原不等式化为

则不等式等价于

在R上为增函数

∴原不等式等价于

解得


7、整体思想

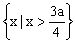
例7.已知,且,求的范围。

解:令

可得

可解得

小结:题中,且是四个整体,在解题过程中,整体谋划,不能破坏其固有的整体结构。

课件:


教案:

一、教学目标

【知识与技能】

掌握基本不等式的形式以及推导过程,会用基本不等式解决简单问题。

【过程与方法】

经历基本不等式的推导与证明过程,提升逻辑推理能力。

【情感、态度与价值观】

在猜想论证的过程中,体会数学的严谨性。


二、教学重难点

【教学重点】

基本不等式。

【教学难点】

基本不等式的推导以及证明过程。


三、教学过程

(一)引入新课

PPT出示的是北京召开的第24届国际数学家大会的会标,会标是根据我国古代数学家赵爽的弦图设计的。

提问:你能在这个图中找到不等关系么?引出课题。

(二)探索新知

1.基本不等式的推导。

学生活动:利用赵爽弦图推导出基本不等式。

(2)一段长为36m的篱笆围成矩形菜园,问这个矩形的长、宽各为多少时菜园面积最大?最大面积是多少?

(四)小结作业

提问:今天有什么收获?

引导学生回顾:基本不等式以及推导证明过程。

课后作业:课后练习1。


四、板书设计

(更多模板,请在教师之梦微信公众号后台

回复“教学设计”进行查看)



《基本不等式》说课稿


尊敬的各位考官大家好,我是今天的X号考生,今天我说课的题目是《基本不等式》。

接下来我将从教材分析、学情分析、教学重难点、教学方法、教学过程等几个方面展开我的说课。


一、说教材

我认为要真正的教好一节课,首先就是要对教材熟悉,那么我就先来说一说我对本节课教材的理解。《基本不等式》在人教A版高中数学必修五第三章第四节,本节课的内容是基本不等式的形式以及推导和证明过程。本章一直在研究不等式的相关问题,对于本节课的知识点有了很好的铺垫作用。同时本节课的内容也是之后基本不等式应用的必要基础。


二、说学情

教材是我们教学的工具,是载体。但我们的教学是要面向学生的,高中学生本身身心已经趋于成熟,管理与教学难度较大,那么为了能够成为一个合格的高中教师,深入了解所面对的学生可以说是必修课。本阶段的学生思维能力已经非常成熟,能够有自己独立的思考,所以应该积极发挥这种优势,让学生独立思考探索。


三、说教学目标

根据以上对教材的分析以及对学情的把握,结合本节课的知识内容以及课标要求,我制定了如下的三维教学目标:

(一)知识与技能

掌握基本不等式的形式以及推导过程,会用基本不等式解决简单问题。

(二)过程与方法

经历基本不等式的推导与证明过程,提升逻辑推理能力。

(三)情感态度价值观

在猜想论证的过程中,体会数学的严谨性。


四、说教学重难点

并且我认为一节好的数学课,从教学内容上说一定要突出重点、突破难点。而教学重点的确立与我本节课的内容肯定是密不可分的。那么根据授课内容可以确定本节课的教学重点是:基本不等式的形式以及推导过程。而作为高中内容,命题的严谨性是必要的,所以本节课的教学难点是:基本不等式的推导以及证明过程。


五、说教法和学法

那么想要很好的呈现以上的想法,就需要教师合理设计教法和学法。根据本节课的内容特点,我认为应该选择讲授法,练习法,学生自主思考探索等教学方法。


六、说教学过程

而教学方法的具象化就是教学过程,基于新课标提出的教学过程是师生积极参与、交往互动、共同发展的过程。我试图通过我的教学过程,打造一个充满生命力的课堂。

(一)新课导入

教学过程的第一步是新课导入环节。

我先PPT出示的是北京召开的第24届国际数学家大会的会标,会标是根据我国古代数学家赵爽的弦图设计的。

提问:你能在这个图中找到不等关系么?

引出课题。

通过展示会标并提问的形式,一方面可以引发学生的好奇心和求知欲,激发学生的学习兴趣;另一方面直入课题,可以很好的过渡到今天的主题内容:推导基本不等式。

(二)新知探索

接下来是教学中最重要的新知探索环节,

1.通过导入的问题,学生思考:通过赵爽弦图推可以发现哪些不等关系呢?

学生小组探究:利用赵爽弦图推导出基本不等式。

之后请学生把证明过程进行板书:

(2)“探究”,几何证明。

分析法是从结果入手,由果索因;几何法是由几何中的不等关系,进行证明。此类不等式的证明分析法理解简单,几何法稍难。学生通过两种证明过程,加深基本不等式的理解,还练习了证明方法。

至此本节课的主要教学内容已经完成,学生在我层次性问题的引导下,一步步通过自己的思考和探索,发现基本不等式,通过不同的方法证明了基本不等式。重点得以突出,难点得以突破。

(三)课堂练习

当然一节课只得出结论还是不够的,作为一节数学课要及时对知识进行应用。所以我设计了如下两道课堂练习:

(2)一段长为36m的篱笆围成矩形菜园,问这个矩形的长、宽各为多少时菜园面积最大?最大面积是多少?

这样的问题能够兼顾到本节课的所有主要内容,并且问题具有层次性,能让学生初步感知基本不等式应用中“积定和最小,和定积最大”的规律,为后续基本不等式的应用做好了铺垫,利于学生的思维发展。

(四)小结作业

在课程的最后我会提问:今天有什么收获?

引导学生回顾:基本不等式以及推导证明过程。

本节课的课后作业我设计为开放性问题:思考还有什么方法能够证明基本不等式?可以利用书本资料,也可以上网查阅资料。

这样的作业设置能够有效激发学生思考,不限制学生的思维,真正做到以学生为主体,让学生学会自主学习。


七、说板书设计

我的板书设计遵循简洁明了突出重点部分,以下是我的板书设计:


高中生学习推荐:
高中化学(微课+课件+教案+考点)汇总
高中物理(微课+课件+教案+考点)汇总
高中数学(微课+课件+教案+练习题)汇总
高中地理(必修+选修)微课精讲+考点汇总
部编高中语文必修上册思维导图汇总下载
部编高中语文必修下册思维导图汇总下载
部编高中语文选修上册微课精讲+知识点

图文来自网络,版权归原作者,如有不妥,告知即删

点击阅读原文下载全册PPT课件动画教案习题整套资料

→→中学生辅导答疑 点这里

1→ 统编教材配套课外阅读书籍

2→ 难懂的数学概念一眼看明白