<
高中数学《2.1 函数概念》微课精讲+知识点+教案课件+习题-一点通教学网
我的
高中数学《2.1 函数概念》微课精讲+知识点+教案课件+习题

语文

数学

英语

物理

化学

生物

史地

政治

道德与法治

美术

音乐

科学全部课程 ↓

知识点:

1. 函数的奇偶性


(1)若f(x)是偶函数,那么f(x)=f(-x) ;

(2)若f(x)是奇函数,0在其定义域内,则 f(0)=0(可用于求参数);

(3)判断函数奇偶性可用定义的等价形式:f(x)±f(-x)=0或 (f(x)≠0);

(4)若所给函数的解析式较为复杂,应先化简,再判断其奇偶性;

(5)奇函数在对称的单调区间内有相同的单调性;偶函数在对称的单调区间内有相反的单调性;


2. 复合函数的有关问题


(1)复合函数定义域求法:若已知 的定义域为[a,b],其复合函数f[g(x)]的定义域由不等式a≤g(x)≤b解出即可;若已知f[g(x)]的定义域为[a,b],求 f(x)的定义域,相当于x∈[a,b]时,求g(x)的值域(即 f(x)的定义域);研究函数的问题一定要注意定义域优先的原则。

(2)复合函数的单调性由“同增异减”判定; 


3.函数图像(或方程曲线的对称性)


(1)证明函数图像的对称性,即证明图像上任意点关于对称中心(对称轴)的对称点仍在图像上;

(2)证明图像C1与C2的对称性,即证明C1上任意点关于对称中心(对称轴)的对称点仍在C2上,反之亦然;

(3)曲线C1:f(x,y)=0,关于y=x+a(y=-x+a)的对称曲线C2的方程为f(y-a,x+a)=0(或f(-y+a,-x+a)=0);

(4)曲线C1:f(x,y)=0关于点(a,b)的对称曲线C2方程为:f(2a-x,2b-y)=0;

(5)若函数y=f(x)对x∈R时,f(a+x)=f(a-x)恒成立,则y=f(x)图像关于直线x=a对称;

(6)函数y=f(x-a)与y=f(b-x)的图像关于直线x= 对称;


4.函数的周期性


(1)y=f(x)对x∈R时,f(x +a)=f(x-a) 或f(x-2a )=f(x) (a>0)恒成立,则y=f(x)是周期为2a的周期函数;

(2)若y=f(x)是偶函数,其图像又关于直线x=a对称,则f(x)是周期为2︱a︱的周期函数;

(3)若y=f(x)奇函数,其图像又关于直线x=a对称,则f(x)是周期为4︱a︱的周期函数;

(4)若y=f(x)关于点(a,0),(b,0)对称,则f(x)是周期为2 的周期函数;

(5)y=f(x)的图象关于直线x=a,x=b(a≠b)对称,则函数y=f(x)是周期为2 的周期函数;

(6)y=f(x)对x∈R时,f(x+a)=-f(x)(或f(x+a)= ,则y=f(x)是周期为2 的周期函数;


5.方程


(1)方程k=f(x)有解 k∈D(D为f(x)的值域);

(2)a≥f(x) 恒成立 a≥[f(x)]max,;

a≤f(x) 恒成立 a≤[f(x)]min;

(3)(a>0,a≠1,b>0,n∈R+);

log a N= ( a>0,a≠1,b>0,b≠1);

(4)log a b的符号由口诀“同正异负”记忆;

a log a N= N ( a>0,a≠1,N>0 );


6.映射


判断对应是否为映射时,抓住两点:

(1)A中元素必须都有象且唯一;

(2)B中元素不一定都有原象,并且A中不同元素在B中可以有相同的象;


7.函数单调性


(1)能熟练地用定义证明函数的单调性,求反函数,判断函数的奇偶性;

(2)依据单调性,利用一次函数在区间上的保号性可解决求一类参数的范围问题


8.反函数


对于反函数,应掌握以下一些结论:

(1)定义域上的单调函数必有反函数;

(2)奇函数的反函数也是奇函数;

(3)定义域为非单元素集的偶函数不存在反函数;

(4)周期函数不存在反函数;(5)互为反函数的两个函数具有相同的单调性;

(5) y=f(x)与y=f-1(x)互为反函数,设f(x)的定义域为A,值域为B,则有f[f--1(x)]=x(x∈B),f--1[f(x)]=x(x∈A).


9.数形结合


处理二次函数的问题勿忘数形结合;二次函数在闭区间上必有最值,求最值问题用“两看法”:一看开口方向;二看对称轴与所给区间的相对位置关系.


10. 恒成立问题


恒成立问题的处理方法:

(1)分离参数法;

(2)转化为一元二次方程的根的分布列不等式(组)求解;



视频教学:


考点:

高中函数的概念考点总结

考点一:函数和映射定义问题

1.判断下列对应是否是A到B的映射和一一映射

(1)A={x丨},B={y丨},

(2)A=[1,2],B=[a,b]

考点二:求函数的定义域

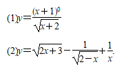
2.求下列函数定义域

(1)f(x)=x+

(2)f(x)=

(3)f(x)=

3.(1)已知函数f(x)的定义域是[0,4],求函数f()的定义域

   (2)已知函数f()的定义域是[1,求函数f()的定义域

   (3)已知函数y=f(x)的定义域是[0,2],求函数g(x)=的定义域

考点三:求函数的值域

4.求下列函数的值域

(1)y=                   (2)y=


5.求函数y=2x+的值域


6.设函数f(x)=的值域为[-1,4],求a,b的值



7.求下列条件下函数y=的值域

(1)        (2)           (3)


8.求函数值域


9.求函数的值域


10.已知函数,求函数的值域


考点四:求函数的最值

11.求函数y=在区间[1,2]上的最大值和最小值


12.已知二次函数f(x)=在区间[-2,3]上的最大值为6,求a的值


13.若x,y满足,求的最大值和最小值


14.若,则的最小值是?的最大值?


考点五:函数概念的综合

15.已知二次函数f(x)=(a,b是常数且a0)满足条件:f(2)=0,方程f(x)=x有等根

(1)求f(x)的解析式

(2)是否存在m,n(m


练习:

1下列图形中,不可能是函数yf(x)的图象的是( )




答案 B

解析 根据函数的存在性和唯一性(定义)可知,B不正确.


2函数

的定义域为(  )

A[1,2)(2,+∞

B(1,+∞)

C[1,2)  

D[1,+∞)



答案 A

解析 由题意可知,要使函数有意义,需满足

x1x2.


3已知f(x)x2x1,则f[f(1)]的值是()

A11 

B12 

C13  

D10



答案 C

解析 f[f(1)]f(3)93113.


4下列各组函数中,表示同一个函数的是()

Ayx1


Byx0y1

Cf(x)x2g(x)(x1)2




答案 D

解析 A中的函数定义域不同;Byx0x不能取0C中两函数的对应关系不同,故选D.


5集合{x|1x0,或1x2}用区间表示为________



答案 [1,0)(1,2]

解析 结合区间的定义知,用区间表示为[1,0)(1,2]


要点一 函数概念的应用


1 设M{x|0x2}N{y|0y2},给出下列四个图形,其中能表示从集合M到集合N的函数关系的有(  )


A0个  

B1

C2个  

D3



答案 B

解析 错,x2时,在N中无元素与之对应,不满足任意性.对,同时满足任意性与唯一性.错,x2时,对应元素y3N,不满足任意性.错,x1时,在N中有两个元素与之对应,不满足唯一性.


规律方法

1.判断一个对应关系是不是函数关系的方法:

(1)AB必须都是非空数集;

(2)A中任意一个数在B中必须有并且是唯一的实数和它对应.

注意:A中元素无剩余,B中元素允许有剩余.

2.函数的定义中任意一个x有唯一确定的y说明函数中两变量xy的对应关系是一对一或者是多对一而不能是一对多


跟踪演练1 下列对应或关系式中是AB的函数的是)

AARBRx2y21

BA{1,2,3,4}B{0,1},对应关系如图:


CARBRfxyx-21

DAZBZfxy



答案 B

解析 对于A项,x2y21可化为y±,显然对任意xAy值不唯一,故不符合.对于B项,符合函数的定义.对于C项,2A,但在集合B中找不到与之相对应的数,故不符合.对于D项,-1A,但在集合B中找不到与之相对应的数,故不符合.


要点二 求函数的定义域


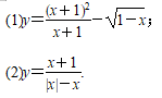
2 求下列函数的定义域:



 

(1)要使函数有意义,自变量x的取值必须满足

所以函数的定义域为{x|x1,且x1}

(2)要使函数有意义,必须满足|x|x0,即|x|x

x0.

函数的定义域为{x|x0}


规律方法 

1.当函数是由解析式给出时,求函数的定义域就是求使解析式有意义的自变量的取值集合,必须考虑下列各种情形:(1)负数不能开偶次方,所以偶次根号下的式子大于或等于零;(2)分式中分母不能为0(3)零次幂的底数不为0(4)如果f(x)由几部分构成,那么函数的定义域是使各部分都有意义的实数的集合;(5)如果函数有实际背景,那么除符合上述要求外,还要符合实际情况.


2.求函数的定义域,一般是转化为解不等式或不等式组的问题,注意定义域是一个集合,其结果必须用集合或区间来表示.


跟踪演练2

解 (1)由于00无意义,

x10,即x1.

x2>0x>2

所以x>2x1.

所以函数

的定义域为{x|x>2,且x1}

(2)要使函数有意义,需

解得-23x<2,且x0


课件:


教案:

教材分析:函数是描述客观世界变化规律的重要数学模型.高中阶段不仅把函数看成变量之间的依赖关系,同时还用集合与对应的语言刻画函数,高中阶段更注重函数模型化的思想.
教学目的:(1)通过丰富实例,进一步体会函数是描述变量之间的依赖关系的重要数学模型,在此基础上学习用集合与对应的语言来刻画函数,体会对应关系在刻画函数概念中的作用;
(2)了解构成函数的要素;
(3)会求一些简单函数的定义域和值域;
(4)能够正确使用“区间”的符号表示某些函数的定义域;
教学重点:理解函数的模型化思想,用合与对应的语言来刻画函数;
教学难点:符号“y=f(x)”的含义,函数定义域和值域的区间表示;
教学过程:
引入课题
复习初中所学函数的概念,强调函数的模型化思想;
阅读课本引例,体会函数是描述客观事物变化规律的数学模型的思想:
(1)炮弹的射高与时间的变化关系问题;
(2)南极臭氧空洞面积与时间的变化关系问题;
(3)“八五”计划以来我国城镇居民的恩格尔系数与时间的变化关系问题
备用实例:
我国2003年4月份非典疫情统计:
日 期222324252627282930新增确诊病例数1061058910311312698152101引导学生应用集合与对应的语言描述各个实例中两个变量间的依赖关系;
根据初中所学函数的概念,判断各个实例中的两个变量间的关系是否是函数关系.
新课教学
(一)函数的有关概念
1.函数的概念:
设A、B是非空的数集,如果按照某个确定的对应关系f,使对于集合A中的任意一个数x,在集合B中都有确定的数f(x)和它对应,那么就称f:A→B为从集合A到集合B的一个函数(function).
记作:y=f(x),x∈A.
其中,x叫做自变量,x的取值范围A叫做函数的定义域(domain);与x的值相对应的y值叫做函数值,函数值的集合{f(x)| x∈A }叫做函数的值域(range).
注意:
“y=f(x)”是函数符号,可以用任意的字母表示,如“y=g(x)”;
函数符号“y=f(x)”中的f(x)表示与x对应的函数值,一个数,而不是f乘x.
构成函数的三要素:
定义域、对应关系和值域
3.区间的概念
(1)区间的分类:开区间、闭区间、半开半闭区间;
(2)无穷区间;
(3)区间的数轴表示.
4.一次函数、二次函数、反比例函数的定义域和值域讨论
(由学生完成,师生共同分析讲评)
(二)典型例题
1.求函数定义域
课本P20例1
解:(略)
说明:
函数的定义域通常由问题的实际背景确定,如果课前三个实例;
如果只给出解析式y=f(x),而没有指明它的定义域,则函数的定义域即是指能使这个式子有意义的实数的集合;
函数的定义域、值域要写成集合或区间的形式.
巩固练习:课本P22第1题
2.判断两个函数是否为同一函数
课本P21例2
解:(略)
说明:
构成函数三个要素是定义域、对应关系和值域.由于值域是由定义域和对应关系决定的,所以,如果两个函数的定义域和对应关系完全一致,即称这两个函数相等(或为同一函数)
两个函数相等当且仅当它们的定义域和对应关系完全一致,而与表示自变量和函数值的字母无关。

高二函数学习是基于初中阶段函数部分的进一步深化和学习,下面是小编给大家带来的高二数学函数知识点总结,希望对你有帮助。


高二数学学习方法

抓好基础是关键

数学习题无非就是数学概念和数学思想的组合应用,弄清数学基本概念、基本定理、基本方法是判断题目类型、知识范围的前提,是正确把握解题方法的依据。只有概念清楚,方法全面,遇到题目时,就能很快的得到解题方法,或者面对一个新的习题,就能联想到我们平时做过的习题的方法,达到迅速解答。弄清基本定理是正确、快速解答习题的前提条件,特别是在立体几何等章节的复习中,对基本定理熟悉和灵活掌握能使习题解答条理清楚、逻辑推理严密。反之,会使解题速度慢,逻辑混乱、叙述不清。

严防题海战术

做习题是为了巩固知识、提高应变能力、思维能力、计算能力。学数学要做一定量的习题,但学数学并不等于做题,在各种考试题中,有相当的习题是靠简单的知识点的堆积,利用公理化知识体系的演绎而就能解决的,这些习题是要通过做一定量的习题达到对解题方法的展移而实现的,但,随着高考的改革,高考已把考查的重点放在创造型、能力型的考查上。因此要精做习题,注意知识的理解和灵活应用,当你做完一道习题后不访自问:本题考查了什么知识点?什么方法?我们从中得到了解题的什么方法?这一类习题中有什么解题的通性?实现问题的完全解决我应用了怎样的解题策略?只有这样才会培养自己的悟性与创造性,开发其创造力。也将在遇到即将来临的期末考试和未来的高考题目中那些综合性强的题目时可以有一个科学的方法解决它。

归纳数学大思维

数学学习其主要的目的是为了培养我们的创造性,培养我们处理事情、解决问题的能力,因此,对处理数学问题时的大策略、大思维的掌握显得特别重要,在平时的学习时应注重归纳它。在平时听课时,一个明知的学生,应该听老师对该题目的分析和归纳。但还有不少学生,不注意教师的分析,往往沉静在老师讲解的每一步计算、每一步推证过程。听课是认真,但费力,听完后是满脑子的计算过程,支离破碎。老师的分析是引导学生思考,启发学生自己设计出处理这些问题的大策略、大思维。当教师解答习题时,学生要用自己的计算和推理已经知道老师要干什么。另外,当题目的答案给出时,并不代表问题的解答完毕,还要花一定的时间认真总结、归纳理解记忆。要把这些解题策略全部纳入自己的脑海成为永久地记忆,变为自己解决这一类型问题的经验和技能。同时也解决了学生中会听课而不会做题目的坏毛病。

积累考试经验

本学期每月初都有大的考试,加之每单元的单元测验和模拟考试有十几次,抓住这些机会,积累一定的考试经验,掌握一定的考试技巧,使自己应有的水平在考试中得到充分的发挥。其实,考试是单兵作战,它是考验一个人的承受能力、接受能力、解决问题等综合能力的战场。这些能力的只有在平时的考试中得到培养和训练。


高中生学习推荐:
高中化学(微课+课件+教案+考点)汇总
高中物理(微课+课件+教案+考点)汇总
高中数学(微课+课件+教案+练习题)汇总
高中地理(必修+选修)微课精讲+考点汇总
部编高中语文必修上册思维导图汇总下载
部编高中语文必修下册思维导图汇总下载
部编高中语文选修上册微课精讲+知识点
部编高中语文选修中册微课精讲+知识点


图文来自网络,版权归原作者,如有不妥,告知即删

点击阅读原文下载全册PPT课件动画教案习题整套资料

→→中学生辅导答疑 点这里

1→ 统编教材配套课外阅读书籍

2→ 难懂的数学概念一眼看明白