<
高中数学《4.2 对数的运算》微课精讲+知识点+教案课件+习题-一点通教学网
我的
高中数学《4.2 对数的运算》微课精讲+知识点+教案课件+习题

语文

数学

英语

物理

化学

生物

史地

政治

道德与法治

美术

音乐

科学全部课程 ↓

知识点:

知识点一 对数的运算性质

如果a0,且a≠1M0N0.那么:

(1) loga(M·N)logaMlogaN

(2) logaNMlogaMlogaN

(3) logaMnnlogaM(nR).

(4)(nR).

知识点二 换底公式

logablogcalogcb(a0,且a≠1c0,且c≠1b>0).

知识点三 常用结论

由换底公式可以得到以下常用结论:

(1)logablogba1             (2)logab·logbc·logca1

(3)logbnlogab         (4)logbmnmlogab

(5)logb=-logab.


解题通法


应用对数的运算性质解题的两种思路


利用对数的运算性质解答问题一般有两种思路:

(1)正用公式:将式中积、商、幂、方根的对数运用对数的运算性质分别化为对数的和、差、积、商,然后化简求值;


(2)逆用公式:将式中对数的和、差、积、商运用对数的运算性质将它们分别化为积、商、幂、方根的对数,然后化简求值。



考法3

实际问题中的对数运算



对数在实际问题中的应用十分广泛,因而与对数相关的应用题也是高考的热点,解决这类问题的关键在于利用对数的有关知识分析问题。



解题通法


对数运算在实际中的应用


对数运算在实际考察中应用广泛,其应用问题大致可分为两类:一类是已知对数应用模型(公式),在此基础上进行一些实际求值,计算时要注意利用“指、对数互化”;另一类是先建立指数函数应用模型,再进行指数求值,此时往往将等式两边取对数进行运算。



说明☆


由于对数运算是一个降级运算,它能将平方开方转化为乘法。乘除转化为加减运算。因此一般地,求指数的运算或乘除数字特别大时会选择对数计算。


考法4

化简对数式的两条途径



化简对数式主要有如下两条途径:


一是“正向”,利用积、商、幂、方根的对数运算法则,把各对数化成更为基本的一系列对数的代数和,由于某些对数能相互抵消,使所给对数式得到化简;二是“逆向”,运用对数运算法则,把同底的各对数合并成一个对数,由于真数部分的约分化简,使所给对数式得到化简。


上述两条途径,简单地说,一是“分”,二是“合”。


解题通法


对数式化简与求值的原则和方法

(1)基本原则:
对数的化简求值一般是正用或逆用公式,对真数进行处理,选哪种策略化简,取决于问题的实际情况,一般本着便于真数化简的原则进行。

(2)两种常用的方法:
①“收”,将同底的两对数的和(差)收成积(商)的对数;
②“拆”,将积(商)的对数拆成同底的两对数的和(差)。


易错防范

易错1 忽视对数定义中的条件

满分策略

对数本身的限定条件为底数大于0且不等于1,做题时常因忽略此条件而出错,要特别注意底数中含有字母的情况。

易错2 对数运算性质记忆或理解有误

满分策略

对数的运算性质是解决对数运算、化简及证明的重要依据,但对数式中的限定条件及运算性质较多,往往由于对其掌握不准确而导致错误。


要把握住对数运算性质的本质特征,防止应用时出现错误,初学者常犯的错误:
①loga(MN)=logaM士logaN;
②loga(MN②loga(aM②loga(aN②loga

视频教学:


练习:


课件:


教案:

教材分析

学生已经学习了指数运算性质,有了这些知识作储备,教科书通过利用指数运算性质,推导对数的运算性质,再学习利用对数的运算性质化简求值

 教学目标与核心素养

课程目标

1、通过具体实例引入,推导对数的运算性质;

2、熟练掌握对数的运算性质,学会化简,计算.

数学学科素养

1.数学抽象:对数的运算性质;

2.逻辑推理:换底公式的推导;

3.数学运算:对数运算性质的应用;

4.数学建模:在熟悉的实际情景中,模仿学过的数学建模过程解决问题.

 教学重难点

重点:对数的运算性质,换底公式,对数恒等式及其应用;

难点:正确使用对数的运算性质和换底公式.

 课前准备

教学方法:以学生为主体,采用诱思探究式教学,精讲多练。

教学工具:多媒体。

教学过程 

一、 情景导入

回顾指数性质:(1)arasars(a0,rs∈Q).(2)(ar)s(a0,rs∈Q).(3)(ab)r(a0,b0,r∈Q).那么对数有哪些性质?如

要求:让学生自由发言,教师不做判断。而是引导学生进一步观察.研探.

二、 预习课本,引入新课

阅读课本124-125页,思考并完成以下问题

1.对数具有哪三条运算性质?

2. 换底公式是如何表述的?

 

要求:学生独立完成,以小组为单位,组内可商量,最终选出代表回答问题。

三、 新知探究

1.对数的运算性质

a>0,且a1M>0N>0,那么:

(1)loga(M·N)logaMlogaN

(2)logaNMlogaMlogaN

(3)logaMnnlogaM(nR)

[点睛] 对数的这三条运算性质,都要注意只有当式子中所有的对数都有意义时, 等式才成立.例如log2[(3)·(5)]log2(3)log2(5)是错误的.

2.换底公式


四、典例分析、举一反三

题型一     对数运算性质的应用

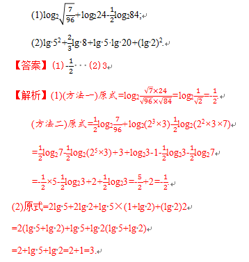
1 计算下列各式的值:

解题技巧:(对数运算性质的应用

1.对于底数相同的对数式的化简、求值,常用的方法是:

(1)“收”,将同底的两个对数的和(差)收成积(商)的对数;

(2)“拆”,将积(商)的对数拆成对数的和(差).

 

2.对数式的化简、求值一般是正用或逆用公式,要养成正用、逆用、变形应用公式的习惯.lg 2+lg 5=1在计算对数值时会经常用到,同时注意各部分变形要化到最简形式.

跟踪训练一

1.计算下列各式的值

 

 

题型二   换底公式的应用

2 计算下列各式的值:

解题技巧:(换底公式的应用

1.换底公式的本质是化异底为同底,主要用途是将一般对数化为常用对数或自然对数,解决一般对数的求值问题.

 

2.利用换底公式计算、化简、求值的一般思路:

跟踪训练二


题型三 对数的综合应用


解题技巧:(对数的综合应用

对数概念的实质是给出了指数式与对数式之间的关系,因此如果遇到条件中涉及指数幂的连等式时,常引入辅助变量,利用指数与对数间相互转化的关系,简化求解过程.

跟踪训练三

五、课堂小结

让学生总结本节课所学主要知识及解题技巧

六、板书设计

 

 

七、作业

课本126页习题4.3

 教学反思

本节通过运用对数性质公式解决相关问题,侧重用实操,培养学生的逻辑思维能力,提高学生的数学素养.


高中生学习推荐:
高中化学(微课+课件+教案+考点)汇总
高中物理(微课+课件+教案+考点)汇总
高中数学(微课+课件+教案+练习题)汇总
高中地理(必修+选修)微课精讲+考点汇总
部编高中语文必修上册思维导图汇总下载
部编高中语文必修下册思维导图汇总下载
部编高中语文选修上册微课精讲+知识点
部编高中语文选修中册微课精讲+知识点

图文来自网络,版权归原作者,如有不妥,告知即删

点击阅读原文下载全册PPT课件动画教案习题整套资料

→→中学生辅导答疑 点这里

1→ 统编教材配套课外阅读书籍

2→ 难懂的数学概念一眼看明白