<
高中数学《2 利用二分法求方程的近似解》微课精讲+知识点+教案课件+习题-一点通教学网
我的
高中数学《2 利用二分法求方程的近似解》微课精讲+知识点+教案课件+习题

语文

数学

英语

物理

化学

生物

史地

政治

道德与法治

美术

音乐

科学全部课程 ↓

知识点:

1、函数的零点

对于函数,我们把使的实数叫做函数的零点。

2、方程的根与函数的零点的关系:

方程有实数根函数的图象与轴有交点函数有零点。

3、函数零点的存在性

对函数零点的存在性应从以下几方面进一步理解:

1)函数的图象是连续的,当它通过零点(不是二重零点)时,函数值变号;

2)相邻两个零点之间的所有函数值保持同号;

3)在函数的某一单调区间内,至多有一个零点;

4)如果函数在一个区间上的图象不间断,并且它的两个端点处的函数值异号,即,则这个函数在这个区间至少有一个零点。

4、二分法

对于在区间[ab]上连续不断、且fa· fb)<0的函数yfx),通过不断地把函数fx)的零点所在的区间一分为二,使区间的两个端点逐步逼近零点,进而得到零点近似值的方法叫二分法。

5、用二分法求方程的近似解

步骤:

1)确定区间[ab],验证fa)·fb)<0,给定精确度ε;

2)求区间(ab)的中点x1

3)计算fx1);

1)若fx1)=0,则x1就是函数的零点;

2)若fa)·fx1)<0,则令bx1(此时零点x0∈(ax1));

3)若fb)·fx1)<0,则令ax1(此时零点x0∈(x1b))。

4)判断是否达到精确度ε:即若|ab|<ε,则得到零点的近似值a(或b);否则重复24

说明:

1)二分法是求一般函数的零点的一种通法,使用二分法的前提条件是:函数零点的存在性。

2)二分法中运用了“逐步逼近”的数学思想,它是通过不断把函数的零点所在的区间一分为二,使区间的两个端点逐步逼近零点,进而得到零点近似值(即方程近似解)。“逐步逼近”思想在许多数学知识中都有很好的运用,希望同学们在学习中要多加领会。

3)二分法求函数零点的不足:二分法的思路虽然简单,但一方面,若函数上有几个零点时,则只能算出一个零点;另一方面,即使函数上有零点,也未必有,这就限制了二分法的使用范围。


视频教学:


练习:

1、方程的根与函数的零点


1、已知函数的图象,如图所示,则(   

A. 

B. 

C. 

D. 

分析这个问题中四个待定系数要由图象及方程的根来确定。

解析:从图中可得,∴

又知还有两个零点,可设函数解析式为:

时,,∴,又由得,

故答案选A

小结:要会根据函数的零点来设解析式,掌握判断最高次项系数符号的方法。该例的解法还很多,同学们不妨再探讨一下其他解法。

 

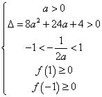
2、关于的一元二次方程的两根分别落在区间内,求实数的取值范围。

分析:该例是一元二次方程根的分布问题,解题关键是由图象的分布要求,列出不等式求解。

解析:设二次函数,其对称轴为,图象开口向上,如图所示。

依题意得,解得

∴实数的取值范围为

小结:函数与方程之间有着密切的联系,在解决其中某一方面的问题时,经常转化为另一方面的问题,在这个转化过程中,函数的零点起着非常重要的作用。

 

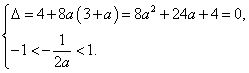
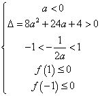
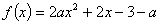
3、已知a是实数,函数,如果函数在区间上有零点,求a的取值范围。

分析:利用在区间上有零点,画出草图,列出不等式求解。

解析:,显然上没有零点,所以

1)当恰有一个零点在上时,则

解得  

2)当上有两个零点时,则

        

解得

综上,所求实数的取值范围是  

小结:当函数在某区间有零点时,要注意对零点的个数加以分析和讨论。

 

2、利用函数零点解不等式


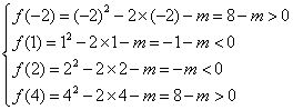
4、求函数的零点,并指出当的取值范围。

分析:该例主要考查二次函数与一元二次方程间的关系,关键是作出的简图。

解析:解方程

∴函数的零点为1

画出函数的简图,如图所示,从图象可以看出:

时,;当时,

故函数的零点为1

时,的取值范围为

时,的取值范围为

小结:一元二次函数的图象是连续的,当它通过零点(不是二重零点)时,函数值变号,且在任意两个相邻的变号零点之间所有函数值保持同号,根据二次函数变号零点的这一性质,可以求解一元二次不等式。

 

3、用二分法求方程的近似解


5、用二分法求函数的一个正零点(精确到0.1)。

分析:按照用二分法求方程近似解的一般步骤求解。

解析:由于要求的是函数的一个正零点,因此可以考虑首先确定一个包含正零点的恰当区间,如,故可取区间为计算的初始区间(当然也可以),用二分法逐次计算,列表如下:

区间

中点

中点函数值

由上表计算可知,区间的长度,所以可以将的近似值作为函数零点的近似值。

小结:在用二分法求函数零点时,若函数能因式分解,可先将其因式分解,进而求得零点,再依据零点确定一个包含零点的恰当区间。如本题可将变形为,则函数零点为,再根据选取一个恰当区间。

利用“二分法”思想巧证不等式



二、利用“二分法”思想巧证一元二次方程根的分布

例3. 已知函数,求证方程至少有一个根在(0,1内。

证明:用“二分法”来证明。首先在区间(0,1)内寻找一个分点,使这个分点所对应的函数值小于0。在区间(0,1)内选二分点

其次证明区间(0,1)两个端点函数值至少有一个为正

因为

所以中至少有一个为正,由函数的图象可知方程至少有一个根在(0,1)内。

注意:证方程在区间(m,n)内有两个不同的解,只需证的符号相同,以及在区间(m,n)找一个二分点t所对应函数值的符号(它与f(m),f(n)的符号相反)。要证方程在区间(m,n)内至少有一个解,只需证f(m),f(n)中至少有一个的符号与区间(m,n)内的一个二分点t所对应函数值f(t)的符号相反。

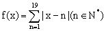
三、利用“二分法”思想巧求最值

例4. 函数的最小值为(    )

A. 190

B. 171

C. 90

D. 45

解析:因表示数轴上的动点x到点n之间的距离。

最小时,x为区间[1,19]内的任意一个分点;

最小时,x为区间[2,18]内的任意一个分点;

最小时,x为区间[3,17]内的任意一个分点。

依次类推,

最小时,x为区间[9,11]内的任意一个分点;

最小时,

利用“二分法”思想,当x是区间[1,19],[2,18],[3,17],……,[9,11]共同二等分点,即x=10时,f(x)取得最小值,所以

故选C。


课件:

教案:

一、教材分析

本节课是《普通高中课程标准实验教科书 数学 必修1(北师大版)》第四章第二节课内容,要求学生根据具体的函数图像能够借助科学计算器或计算机用二分法求相应方程的近似解,从中体会函数与方程之间的联系;本节课既是必修1的重点内容,又是对函数知识的拓展,同时也体现了函数在解方程中的重要应用,为高中数学中函数与方程思想、数形结合思想、二分法的算法思想打下了基础,因此本节课内容起到了承上启下的作用.

二、学情分析

学生已经学习了函数的有关知识、函数零点和方程根的关系, 初步掌握了函数与方程的转化思想.但是对于求函数零点所在区间,只是比较熟悉求二次函数的零点,对于高次方程和超越方程对应函数零点的寻求会有困难.另外,算法的程序思想求近似解对学生来说也是一个全新的问题.

三、设计理念

以学生发展为本,倡导积极主动、勇于探索的学习精神和合作探究式的学习方式;注重培养学生的数学思维能力,发展学生的数学应用意识;在教与学的和谐统一中体现数学的文化价值;注重信息技术与数学课程的合理整合.

四、教学目标 

1、知识与能力:了解二分法求解方程的近似解的思想方法;会用二分法求解具体方程的近似解.

2、方法与途径:在教师的点拨、启发、引导下,学生通过自主学习、合作探究等方式完成对本节课内容的理解和掌握.

3、情感与评价:通过用二分法求解具体方程的近似解,感受近似思想、逼近思想和算法思想;通过教师的激励性评价激发学生的数学学习兴趣.

4、教学手段的运用:使用多媒体、科学计算器或计算机,加强数学教学与信息技术整合,使学生在主体参与中完成学习任务.

五、重点和难点

1.重点:用“二分法”求方程的近似解,使学生体会函数零点与方程根之间的联系,初步形成用函数观点处理问题的意识.

2.难点:利用二分法求方程的近似解;对方程近似解的精度的把握和理解.

六、教法与学法

1.教法:点拨、启发、引导、评价

2.学法:自主学习、合作探究

七、教学过程

(一)创设情境,揭示课题

问题情境:在一个风雨交加的夜里,从某水库闸房到防洪指挥部的电话线路发生了故障.这是一条长10km的线路,如何迅速查出故障所在?

如果沿着线路一小段一小段查找,困难很多.每查一个点要爬一次电线杆,10km长的线路,大约有200多根电线杆子呢.想一想,维修线路的工人师傅怎样工作较为合理?

(以实际问题为背景,激活学生的思维,激发学生的数学兴趣。注意学生解答过程中出现的问题,及时引导学生思考,从二分法角度解决问题.)


[设计意图] 从实际问题入手,说明二分法原理源于现实生活,并在现实生活中广泛应用.

(二)合作探究,构建新知

我们已经学过一元一次方程、一元二次方程的解法,那么,如何求出方程2x3+3x-3=0的解呢?

问题1.方程一定有实根吗?

学生经过启发发现:要找方程的实数解,首先要确定实数解的存在性.

(教师借助多媒体投影出上节课的主要学习内容并请学生来回答,并作适当的启发;学生回忆旧知识并思考、讨论、回答新问题.)

问题2.如何确定方程实数解的存在性?

学生共同回忆方程实数解的存在性问题及方程对应函数的零点存在区间问题.从而将方程实数解与函数的零点相互联系起来,联想有关知识:

(1)函数y=f(x)的零点即y=f(x)的图像与x轴交点的横坐标;

(2)函数y=f(x)的零点即对应方程f(x)=0的实数解;

(3)若函数y=f(x)在闭区间[ab]上的图像是连续曲线,并且在闭区间端点的函数值符号相反,即f(a)f(b)<0,则在区间(ab)内,函数y=f(x)至少有一个零点,即对应的方程f(x)=0在区间(ab)内至少有一个实数解.

问题3.能否找出方程2x3+3x-3=0的一个实数解的存在区间呢?

学生通过借助科学计算器估算得到不同的、并且有公共区间的实数解存在区间.

(教师鼓励学生动手、动笔、动脑思考和估算,让学生在探究过程中体验到成功的喜悦.)

问题4.解的存在区间越小说明什么问题呢?

学生经过讨论发现方程实数解的存在区间越小,区间内的数就越接近实数解.

教师进一步引导学生发现给定精度,当方程解的存在区间的长度小于给定精度时,区间内任意一个数可以认为是方程的一个近似解.

问题5.如何使方程实数解的存在区间越来越小呢?精度如何达到?二等分区间的次数如何确定?

在一定精度的要求下,通过取区间的中点,有限次重复相同步骤,借助函数零点的判定法则,将零点所在区间尽量缩小,当区间的长度小于给定精度时,该区间内任意一个数都可以作为方程的一个近似解.

问题6.求方程2x3+3x-3=0的一个近似解(精度为0.01).

探究:用计算器或计算机作出函数f(x)= 2x3+3x-3对应值表:

次数

左端点

左端点函数值

右端点

右端点函数值

第1次

0

-3

1

2

第2次

0.5

-1.25

1

2

第3次

0.5

-0.63671875

0.75

0.09375

第4次

0.625

-0.287597656

0.75

0.09375

第5次

0.6875

-0.101135254

0.75

0.09375

第6次

0.71875

-0.004768372

0.75

0.09375

第7次

0.734375

-0.004768372

0.75

0.09375

第8次

0.734375

-0.004768372

0.7421875

0.044219017

第9次

0.734375

-0.004768372

0.73828125

0.019657731

第10次

0.734375

-0.004768372

0.736328125

0.007427827

第11次

0.734375

-0.004768372

0.735351563

0.00132552

第12次

0.734863281

-0.001722477

0.735351563

0.00132552

第13次

0.735107422

-0.000198742

0.735351563

0.00132552

可以看出,区间[0.735107422,0.735351563]内的所有值,若精确到0.01,都是0.74.所以,0.74是方程2x3+3x-3=0精确到0.01的实数解.

(三)总结归纳,提炼方法

对于在区间[ab]上连续且满足f(a)·f(b)<0的函数y=f(x),通过不断地把函数y=f(x)的零点所在的区间一分为二,使区间的两个端点逐步逼近零点,进而得到零点近似值的方法叫做二分法.

(强调:1.二分法的适用范围,即函数y=f(x)在区间[a,b]上连续;2.用二分法求函数的零点近似值的步骤.)

给定精确度ε,用二分法求函数y=f(x)的零点近似值的步骤如下:

1、确定区间 [ab],验证f(a)·f(b)<0;

2、求区间(a,b)的中点c;

3、计算f(c):

(1)若f(c)=0,则c就是函数的零点;

(2)若f(a)·f(c)<0,则令b=c(此时零点x0∈(a,c));

(3)若f(c)·f(b)<0,则令a=c(此时零点x0∈(c,b));

4、判断是否达到精确度ε:

即若︱a-b︱<ε,则得到零点值a(或b);否则重复步骤2—4.

(四)例题剖析,巩固新知

例:借助计算器或计算机用二分法求方程的近似解(精确度0.1).

 引导学生思考如下两个问题:

问题1:如何确定初始区间[a,b]?

(在这个环节中,倡导学生合作学习;同时要引导学生养成严谨、细心的治学态度.)

问题2:有什么方法可以实现直接快速地得出计算结果?能否利用计算机,设计程序来完成?

(可以利用编好的程序,让学生尝试操作,感受算法的思想,同时体会数学与计算机的结合产生的巨大功效.)

(五)实践体验,巩固深化

1、用二分法求图象是连续不断的函数在∈(1,2)内零点近似值的过程中得到,,,则函数的零点落在区间(   ).


(A)(1,1.25)   (B)(1.25,1.5)   (C)(1.5,2)  (D) 不能确定

[设计意图]让学生进一步明确缩小零点所在范围的方法.

2.借助计算器或计算机,用二分法求方程在区间(2,3)内的近似解(精确度0.1).

[设计意图] 进一步加深和巩固对用二分法求方程近似解的理解.

(六)课堂小结,回顾反思

1、掌握用二分法求方程的近似解.

2、思想方法:函数的思想、数形结合思想.

(学生先思考或讨论,再回答,教师引导、点拨,及时评价.)

(七)课外作业

1.[书面作业] 课本第119页习题4—1  A组  1、 3、 4.

2.[拓展提升] 从上海到美国旧金山的海底电缆有15个接点,现在某接点发生故障,需及时修理,为了尽快断定故障发生点,一般至少需要检查接点的个数为几个?

(八)板书设计

 

1.2 用二分法求方程的近似解

1.二分法的定义

2.用二分法求函数的零点近似值的步骤

3.用二分法求方程的近似解



高中生学习推荐:
高中语文(微课+课件+教案+考点)汇总
高中化学(微课+课件+教案+考点)汇总
高中物理(微课+课件+教案+考点)汇总
高中数学(微课+课件+教案+练习题)汇总
高中地理(必修+选修)微课精讲+考点汇总

图文来自网络,版权归原作者,如有不妥,告知即删

点击阅读原文下载全册PPT课件动画教案习题整套资料

→→中学生辅导答疑 点这里

1→ 统编教材配套课外阅读书籍

2→ 难懂的数学概念一眼看明白