<
高中数学《2.2 分层随机抽样》微课精讲+知识点+教案课件+习题-一点通教学网
我的
高中数学《2.2 分层随机抽样》微课精讲+知识点+教案课件+习题

语文

数学

英语

物理

化学

生物

史地

政治

道德与法治

美术

音乐

科学全部课程 ↓

知识点:

简单随机抽样


定义:

设一个总体含有N个个体,从中逐个不放回抽取n个个体作为样本(n≤N),如果每次抽取时总体内的各个个体被抽到的机会都相等,就把这种抽样方法叫做简单随机抽样。

常见的两种简单随机抽样方法:

抽签法和随机数法

抽签法:

把总体的N个个体进行编号,把号码写在号签上,将号签放到一个容器里,均匀搅拌后,每次从中抽取一个号签,连续抽取n次,就得到了一个容量为n的样本。

随机数法:

即利用随机数表,随机数骰子或计算机产生的随机数进行抽样。这里只需要掌握随机数表法。

随机数表由数字0,1,2,……,9组成,并且每个数字在表中的各个位置出现的机会都是一样的。


分层抽样




定义:

在抽样时,将总体分成互不交叉的层,然后按照一定的比例,从各层独立地抽取一定数量的个体,将各层取出的个体合在一起作为样本,这种抽样方法是一种分层抽样。

分层抽样的适用范围:

当总体是由差异明显的几个部分组成时,往往选用分层抽样。

注意:分层抽样是按比例抽样,每一层入样的个体数为该层的个体数乘以抽样比.

分层抽样遵循的规则:

①分层:将相似的个体归入一类,即为一层,分层要求每层的各个个体互不交叉,遵循不重复、不遗漏原则

②分层抽样为保证每个个体等可能入样,需遵循在各层中进行简单随机抽样或者系统抽样。

分层抽样的操作步骤:

①总体分层:按某种特征将总体分成若干部分

②按照比例:按比例(抽样比=抽取样本数量与样本总体之比)确定每层抽取个体的个数


视频教学:


练习:

1.某校高三年级有男生500人,女生400人,为了解该年级学生的健康状况,从男生中任意抽取25人,从女生中任意抽取20人进行调查.这种抽样方法是(  ) A.简单随机抽样    B.抽签法 C.随机数法   

 

D.分层随机抽样 

解析 从男生500人中抽取25人,从女生400人中抽取20人,抽取的比例相同,因此用的是分层随机抽样. 答案 D 

2.某大学为了解在校本科生对参加某项社会实践活动的意向,拟采用分层随机抽样的方法,从该校四个年级的本科生中抽取一个容量为300的样本进行调查,已知该校一年级、二年级、三年级、四年级的本科生人数之比为4∶5∶5∶6,则应从一年级本科生中抽取________名学生.

解析 根据题意,应从一年级本科生中抽取的人数为. 答案 60


【例1】 (1)某政府机关在编人员共100人,其中副处级以上干部10人,一般干部70人,工人20人,上级部门为了了解该机关对政府机构改革的意见,要从中抽取20人,用下列哪种方法最合适(  ) A.抽签法   

 

B.随机数 C.简单随机抽样    

D.分层随机抽样 

(2)分层随机抽样又称类型抽样,即将相似的个体归入一类(层),然后每类抽取若干个个体构成样本,所以分层随机抽样为保证每个个体被等可能抽取,必须进行(  ) 

A.每层等可能抽样 B.每层可以不等可能抽样 C.所有层按同一抽样比等可能抽样 D.所有层抽取的个体数量相同 

解析 (1)总体由差异明显的三部分构成,应选用分层随机抽样. 

(2)为了保证每个个体等可能的被抽取,分层随机抽样时必须在所有层都按同一抽样比等可能抽取.

答案 (1)D (2)C 

规律方法 1.使用分层随机抽样的前提 

分层随机抽样的总体按一个或多个变量划分成若干个子总体,并且每一个个体属于且仅属于一个子总体,而层内个体间差异较小. 2.使用分层随机抽样应遵循的原则 

(1)将相似的个体归入一类,即为一层,分层要求每层的各个个体互不交叉,即遵循不重复、不遗漏的原则; 

(2)分层随机抽样为保证每个个体等可能抽取,需遵循在各层中进行简单随机抽样,每层样本量与每层个体数量的比等于抽样比.


【训练1】 下列问题中,最适合用分层随机抽样抽取样本的是(  ) A.从10名同学中抽取3人参加座谈会 

B.某社区有500个家庭,其中高收入的家庭125户,中等收入的家庭280户,低收入的家庭95户,为了了解生活购买力的某项指标,要从中抽取一个容量为100的样本 

C.从1 000名工人中,抽取100人调查上班途中所用时间 D.从生产流水线上,抽取样本检查产品质量 

解析 A中总体所含个体无差异且个数较少,适合用简单随机抽样;C和D中总体所含个体无差异但个数较多,不适合用分层随机抽样;B中总体所含个体差异明显,适合用分层随机抽样. 答案 B

课件:


教案:

教材分析:

1.内容

分层随机抽样的方法

2.内容解析

分层随机抽样是借助辅助信息将总体先分为若干个子总体,然后在每个子总体中采用简单随机抽样方法分别抽取样本,再把所有子总体中抽取的样本合在一起作为总样本,从而得到总体的一个样本的随机抽样方法.

分层随机抽样方法在大规模调查中经常使用,因为它可以在每层内独立进行调查,方便组织实施,而且除了能得到总体的估计外,同时还能得到每层的估计.如果分层合理,使得层内差异小,层间差异大,则分层随机抽样不会出现“极端样本”,对总体的估计效果优于简单随机抽样.在大数据时代,数据繁多,有时需将多组数据汇总,这时也可以运用分层思想,把组别看成层,在对每层数据的个数、平均数、方差等进行运算的基础上,得到全部数据的平均数、方差等.因此,分层随机抽样的思想在现实生活中具有十分广泛的应用,是非常重要的随机抽样方法.

根据以上分析,确定本节课的学习重点:分层随机抽样的特点及方法,分层随机抽样的样本均值。


二、目标和目标解析


1.目标

(1)了解分层随机抽样的特点、适用范围及必要性;

(2)通过实例,掌握各层样本量比例分配的方法,掌握分层随机抽样的样本均值;

(3)在简单的实际情境中,能根据实际问题的特点,设计恰当的抽样方法解决问题;

(4)通过经历分层随机抽样收集数据、分析数据的过程,感受样本的随机性,提升数据分析素养。

2.目标解析

达成上述目标的标志是:

(1)通过抽样调查的具体实例,知道对于个体差异较大的总体,实施简单随机抽样时可能出现“极端样本”,此时若能利用辅助信息进行合理分层,可以改进抽样方法,

(2)在分层随机抽样调查的过程中,能明确分层随机抽样的方法和步骤:

①将总体按照一个或者多个指标分成若干个子总体,使得每个个体属于且仅属于一个子总体;

②确定每个子总体的样本量:在每个子总体中按照比例分配方法(每层样本量都与子总体的大小成比例)确定样本量;

③在每一层中采用简单随机抽样抽取个体,

(3)通过总样本均值计算公式的简单推导,明确总样本均值等于每层的样本均值的加权平均,并会用比例分配分层随机抽样的样本均值估计总体均值。

(4)通过多次模拟两种抽样方法,观察每次抽取的样本观测值,体会样本的随机性和规律性,并借助统计图表比较两种抽样方法的样本均值估计总体均值的效果,能举例说明简单随机抽样和分层随机抽样的区别和联系,并能根据实际需要,设计恰当的抽样方法获取样本,

三、教学问题诊断分析

通过多次分层随机抽样和多次简单随机抽样所得样本均值与总体均值的比较可以发现,分层随机抽样的估计效果并不是每一次都优于简单随机抽样,而是从整体上或者从多数意义上优于简单随机抽样,由于分层随机抽样是对简单随机抽样的改进,按确定性思维习惯,学生很容易认为针对同一总体的分层随机抽样一定优于简单随机抽样.两个随机量的比较与两个确定量的比较有很大的不同,因此本节课的第一个难点是,从统计意义上理解在合理分层的情况下分层随机抽样的估计效果优于简单随机抽样.

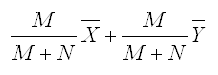
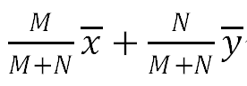
在用样本数据估计总体均值时,一方面,因为总体均值等于各层均值的加权平均,即

,
其中MN为第一层子总体和第二层子总体的个体数,分别为第一层子总体和第二层子总体的均值,而在每层中是采用简单随机抽样方法获得该层的样本数据,可以用每层的样本平均数估计该层的总平均数,所以可以用估计总体均值,其中文和可分别为第一层子总体和第二层子总体的样本平均数;另一方面,当每一层按比例分配时,样本平均数也可以作为总体平均数的估计,并且与相等.用样本均值估计总体均值,学生已具备一定经验,但对于在比例分配的分层随机抽样中为什么可以用样本均值估计总体,在一般的分层随机抽样中如何估计总体等问题的认识是非常有限的.因此,分层随机抽样中估计总体均值的思想是学生学习的第二个准点。


【以上大部分内容选自《普通高中教科书教师教学用书数学必修第二册》,版权归原作者、原出版者所有,摘录、转载是为没有带纸质用书时研讨使用。】

教学重点、难点

重点:分层随机抽样的特点及方法,分层随机抽样的样本均值。

难点:

1.从统计意义上理解在合理分层的情况下分层随机抽样的估计效果优于简单随机抽样.

2.分层随机抽样中估计总体均值的思想

四、数学学科素养

水平一

理解分层随机抽样的概念.(数学抽象)

掌握分层随机抽样的一般步骤.(数学建模)

水平二

区分简单随机抽样,分层随机抽样.(数据分析)

会设计恰当的抽样方法解决简单的应用问题.(数学建模)


高中生学习推荐:
高中语文(微课+课件+教案+考点)汇总
高中英语(微课+课件+教案+考点)汇总
高中化学(微课+课件+教案+考点)汇总
高中物理(微课+课件+教案+考点)汇总
高中数学(微课+课件+教案+练习题)汇总
高中生物(微课+课件+教案+练习题)汇总
高中历史(必修+选修)微课精讲+考点汇总

高中地理(必修+选修)微课精讲+考点汇总

图文来自网络,版权归原作者,如有不妥,告知即删

点击阅读原文下载全册PPT课件动画教案习题整套资料

→→中学生辅导答疑 点这里

1→ 统编教材配套课外阅读书籍

2→ 难懂的数学概念一眼看明白