<
人教版三年级数学下册期末复习PPT课件考点资料打包下载-一点通教学网
我的
人教版三年级数学下册期末复习PPT课件考点资料打包下载

语文

数学

英语

物理

化学

生物

史地

政治

道德与法治

美术

音乐

科学全部课程 ↓
人教版三年级数学下全册图文知识精讲
人教版三年级数学下册微讲课讲解视频
人教版三年级数学下全册说课稿+反思
人教版三年级数学下册全册思维导图
人教版三年级数学下册全册教案设计


一、位置与方向(一)

1、东与西相对,南与北相对,
东南与西北相对,西南与东北相对。位置是相对的,不是绝对的。判断位置时现要弄清楚是以谁为标准。
2、 地图通常是按上北、下南、左西、右东来绘制的。


二、除数是一位数的除法

1、一位数除整十、整百、整千数的口算

(1)利用“表内除法计算”

(2)想乘算除

2、一位数除几百几十几数或几千几百数的口算

(被除数前两位能被一位数整除时)用被除数的前两位除以一位数,在得数的末尾添上与被除数末尾同样多的0。

3、口算时的注意事项

(1)0除以任何数(0除外)都等于0;

(2)0乘以任何数都得0;

(3)0加任何数都得任何数本身;

(4)任何数减0都得任何数本身 。

4、笔算除法的顺序:确定商的位数,试商,检查,验算

5、一位数除两、三位数的笔算方法

先从被除数的最高位除起,如果最高位不够商1,就看前两位,而除到被除数的哪一位,就要把商写在那一位上,假如不够商1,就在这一位商0;每次除得的余数都要比除数小,再把被除数上的数落下来和余数合起来,再继续除。

6、除法的验算方法

没有余数的除法的验算方法:商×除数=被除数

有余数的除法的验算方法:商×除数+余数=被除

7、三位数除以一位数的估算方法

除数不变,把三位数看成几百几十数或整百数,再用口算除法的基本方法进行计算。


三、年、月、日

1、经过的天数的计算

结束时间—开始时间 + 1

2、计算经过时间,就是用结束时刻减开始时刻

结束时刻-开始时刻=时间段(经过时间)

3、时间与时刻的区别

时间是一段,时刻是一个点


四、两位数乘两位数

1、口算乘法

(1)两位数乘一位数的口算

把两位数分成整十数和一位数,用整十数和一位数分别与一位数相乘,最后把两次乘得的积相加。

(2)整百整十数乘一位数的口算

先用整百数乘一位数,再用整十数乘一位数,最后把两次乘得的积相加。

先用整百整十数的前两位与一位数相乘,再在乘积的末尾添上一个0。

(3)两位数乘整十数的口算

先用这个两位数与整十数十位上的数相乘,然后在积的末尾添上一个0。

2、笔算乘法

先把第一个因数同第二个因数个位上的数相乘,再与第二个因数十位上的数相乘(积与十位对齐),最后把两个积加起来。


五、小数的初步认识

1、小数的意义

像3.45,0.85,2.60,36.6,1.2和1.5这样的数叫做小数。小数是分数的另一种表现形式。

2、小数的认、读、写

限于小数部分不超过两位的小数。整数部分按整数的读法(几百几十几)。小数部分,按顺序依次读出每一位上的数字,有几个0就读几个零。

3、比较两个小数的大小

先比较小数的整数部分,整数部分大的数就大,如果整数部分相同就比较小数的小数部分,小数部分要从小数点后最高位比起。

4、计算小数加、减法

小数点对齐,也就是相同数位对齐,再按照整数加、减法的计算方法进行计算,最后在得数里点上小数点,使它与横线上的小数点对齐。

知识点总结

第一单元 位置与方向






1、① (东与西)相对,(南与北)相对,
(东南—西北)相对,(西南—东北)相对。

② 清楚以谁为标准来判断位置。
③ 理解位置是相对的,不是绝对的。

2、地图通常是按(上北、下南、左西、右东)来绘制的。
做题时先标出北南西东。


3、会看简单的路线图,会描述行走路线。

一定写清楚从哪儿向哪个方向走,走了多少米,到哪儿再向哪个方向走。同一个地点可以有不同的描述位置的方式。(例如:学校在剧场的西面,在图书馆的东面,在书店的南面,在邮局的北面。)同一个地点有不同的行走路线。一般找比较近的路线走。


4、指南针是用来指示方向的,它的一个指针永远指向(南方),另一端永远指向(北方)。


5、生活中的方位知识:
① 北斗星永远在北方。
② 影子与太阳的方向相对。
③ 早上太阳在东方,中午在南方,傍晚在西方。
④ 风向与物体倾斜的方向相反。
( 刮风时的树朝风向相对的方向弯,烟朝风向相对的方向飘…… )




第二单元  除数是一位数的除法




1、口算时要注意:

(1)0除以任何数(0除外)都等于0;

(2)0乘以任何数都得0;

(3)0加任何数都得任何数本身;

(4)任何数减0都得任何数本身 。


2、没有余数的除法:   

被除数÷除数=商        

商×除数=被除数        

被除数÷商=除数  

 

有余数的除法:

被除数÷除数=商……余数

商×除数+余数=被除数

(被除数—余数)÷商=除数


3、笔算除法顺序:确定商的位数,试商,检查,验算。


(1)一位数除两位数(商是两位数)的笔算方法:先用一位数除十位上的数,如果有余数,要把余数和个位上的数合起来,再用除数去除。除到被除数的哪一位,就把商写在那一位上面。


(2)一位数除三位数的笔算方法:先从被除数的最高位除起,如果最高位不够商1,就看前两位,而除到被除数的哪一位,就要把商写在那一位上,假如不够商1,就在这一位商0;每次除得的余数都要比除数小,再把被除数上的数落下来和余数合起来,再继续除。


(3)除法的验算方法:

没有余数的除法的验算方法:商×除数:被除数;

有余数的除法的验算方法:商×除数+余数=被除数。


4、基本规律:

(1)从高位除起,除到哪一位,就把商写在那一位;

(2)三位数除以一位数时百位上够除,商就是三位数;百位上不够除,商就是两位数;(最高位不够除,就看两位上商。)

(3)哪一位有余数,就和后面一位上的数合起来再除;

(4)哪一位上不够商1,就添0占位;每一次除得的余数一定要比除数小




第二单元 课外知识拓展




5、2、3、5倍数的特点

2的倍数:个位上是2、4、6、8、0的数是2的倍数。

5的倍数:个位上是0或5的数是5的倍数。

3的倍数:各个数位上的数字加起来的和是3的倍数,这个数就是3的倍数。比如:462,4+6+2=12,12是3的倍数,所以462是3的倍数。


6、关于倍数问题:

两数和÷倍数和=1倍的数

两数差÷倍数差=1倍的数


例:已知甲数是乙数的5倍,甲乙两数的和是24,求甲乙两数?


解:这里把乙数看成1倍的数,那甲数就是5倍的数。它们加起来就相当于乙数的6倍了,而它们加起来的和是24。这也就相当于说乙数的6倍是24。所以乙数为:24÷6=4,甲数为:4×5=20


同样:若已知甲数是乙数的5倍,甲乙两数之差是24,求甲乙两数?


这里把乙数看成1倍的数,那甲数就是5倍的数。它们的差就相当于乙数的4倍了,而它们的差是24。这也就相当于说乙数的4倍是24。所以乙数为:24÷4=6,甲数为:6×5=30



7、和差问题

(两数和 — 两数差)÷2=较小的数

(两数和 + 两数差)÷2=较大的数


例:已知甲乙两数之和是37,两数之差是19,求甲乙两数各是多少?

如图:


解析:如果给甲数加上“乙数比甲数多的部分(两数差)”(虚线部分),则由图知,甲数+两数差=乙数。


如是:甲数+两数差+乙数=甲数+乙数+两数差=两数和+两数差  

又有:甲数+两数差+乙数=乙数+乙数=乙数×2

知道:两数和+两数差=乙数×2      

(两数和 + 两数差)÷2=乙数


解:假设乙数是较大的数。乙:(37+19)÷2=28    甲:28-19=9


8、锯木头问题。


王叔叔把一根木条锯成4段用12分钟,锯成5段需要多长时间?




如图,锯成4段只用锯3次,也就是锯3次要12分钟,那么可以知道锯一次要:12÷3=4(分钟)

而锯成5段只用锯4次,所需时间为:4×4=16(分钟)


9、巧用余数解决问题。


①(  )÷8=6……(   ),求被除数最大是______,最小是________。


根据除法中“余数一定要比除数小”规则,余数最大应是7,最小应是1。

再由公式:商×除数+余数=被除数,知道被除数最大应是6×8+7=55,最小应是6×8+1=49。


少年宫有一串彩灯,按1红,2黄,3绿排列着,请你猜一猜第89个是什么颜色?



……


由图可知,彩灯一组为:1+2+3=6(个),照这样下去,89÷6=14(组)……5(个)第89个已经有像上面的这样6个一组14组,还多余5个;这5个再照1红,2黄,3绿排列下去,第5个就是绿色的了。


③加一份和减一份的余数问题。

例1:38个去划船,每条船限坐4个,一共要几条船?

38÷4=9(条)……2(人)

余下的2人也要1条船,9+1=10条。

答:一共要10条船。


例2:做一件成人衣服要3米布,现在有17米布,能做几件成人衣服?

  17÷3=5(件)……2(米)

余下的2米布不能做一件成人衣服

  答:能做5件成人衣服。



第三单元  复式统计表




1、把两个或两个以上有联系的单式统计表合编成一个统计表,这个统计表就是复式统计表


2、观察、分析复式统计表要先看表头,弄清每一项的内容,再根据数据进行分析,回答问题。




第四单元  两位数乘以两位数




口算乘法

1、两位数乘一位数的口算方法:

(1)把两位数分成整十数和一位数,用整十数和一位数分别与一位数相乘,最后把两次乘得的积相加

(2)在脑中列竖式计算。


2、整百整十数乘一位数的口算方法:

(1)先用整百数乘一位数,再用整十数乘一位数,最后把两次乘得的积相加。

(2)先用整百整十数的前两位与一位数相乘,再在乘积的末尾添上一个0。

(3)在脑中列竖式计算。


3、一个数与10相乘的口算方法:

一位数与10相乘,就是把这个数的末尾添上一个0。


4、两位数乘整十数的口算方法:

先用这个两位数与整十数十位上的数相乘,然后在积的末尾添上一个O。


小技巧:口算乘法:整十、整百的数相乘,只需把0前面的数字相乘,再看两个因数一共有几个0,就在结果后面添上几个0。

如:30×500=15000  可以这样想,3×5=15,两个因数一共有3个0,在所得结果15后面添上3个0就得到30×500=15000


笔算乘法


先把第一个因数同第二个因数个位上的数相乘,再与第二个因数十位上的数相乘(积与十位对齐),最后把两个积加起来。


注意事项


1.估算:18×22,可以先把因数看成整十、整百的数,再去计算。
→(可以把一个因数看成近似数,也可以把两个因数都同时看成近似数。)

2、有大约字样的一般要估算。
3、凡是问 够不够,能不能 等的题,都要三大步
①计算、②比较、③答题。→ 别忘了比较这一步。


几个特殊数:


25×4=100 ,125×8=1000

4相关公式:

因数×因数 = 积        

积÷因数 = 另一个因数

5、两位数乘两位数积可能是( 三 )位数,也可能是( 四 )位数。


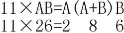
6一个两位数与11的速算技巧:




第五单元  面积




面积和面积单位:


1.常用的面积单位有:(平方厘米)、(平方分米)、(平方米)。

2.理解面积的意义和面积单位的意义。
面积:物体表面或封闭图形的大小,叫做它们的面积。
1平方米:边长是1米的正方形,它的面积是1平方米。
1平方分米:边长是1分米的正方形,它的面积是1平方分米。
1平方厘米:边长是1厘米的正方形,它的面积是1平方厘米。

3.在生活中找出接近于1平方厘米、1平方分米、1平方米的例子。例如1平方厘米(指甲盖)、1平方分米(电脑光盘或电线插座)、1平方米(教室侧面的小展板)。

4.区分长度单位和面积单位的不同。长度单位测量线段的长短,面积单位测量面的大小。

5比较两个图形面积的大小,要用(统一)的面积单位来测量。

背熟
(1)边长(1厘米)的正方形,面积是(1平方厘米)。
(反过来也要会说。面积是1平方厘米的正方形,它的边长是1厘米。)
(2)边长  (1分米)的正方形,面积是(1平方分米)。
(3)边长  (1米  )的正方形,面积是(1平方米)。
(4)边长是(100米)的正方形面积是(1公顷),也就是(10000平方米)。
(5)边长是(1千米)的正方形面积是1平方千米。


面积单位进率和土地面积单位:


1.常用的土地面积单位有( 公顷 )和( 平方千米 )。

★“ 公顷 ”→ 测量菜地面积、果园面积、建筑面积
★“ 平方千米 ”→ 测量城市土地面积、国家面积

1公顷:边长是100米的正方形,它的面积是1公顷。

1平方千米:边长是1千米的正方形,它的面积是1平方千米。

1公顷=10000平方米

1平方千米=100公顷

1平方千米=1000000平方米


2.正确理解并熟记相邻的面积单位之间的进率。

① 进率100:
1平方米 = 100平方分米

1平方分米 = 100平方厘米
1平方千米 = 100 公顷
② 进率10000:
1公顷 = 10000平方米

1平方米 = 10000平方厘米
③ 进率1000000:
1平方千米 = 1000000平方米

④ 相邻两个常用的长度单位之间的进率是( 10 )。

相邻两个常用的面积单位之间的进率是( 100 )。


背熟公式


1、周长公式:

长方形的周长 = (长+宽)× 2

长 = 周长÷2-宽        

或者:(周长-长×2)÷2= 宽
宽 = 周长÷2-长        

或者:(周长-宽×2)÷2=长    

正方形的周长 = 边长×4
正方形的边长 = 周长÷4


2、面积公式:

长方形的面积=长×宽

正方形的面积=边长×边长

长方形的周长=(长+宽)×2

正方形的周长=边长×4

已知面积求长:长=面积÷宽

已知面积求边长:边长=面积开平方

已知周长求长:长=周长÷2 - 宽

已知面积求边长:边长=面积÷4


A
、正确区分长方形和正方形的周长和面积的意义,并能正确运用上面的4个计算公式求周长和面积。



归类:什么样的问题是求周长?(缝花边、围栅栏、围栏杆、池塘或花坛周围小路长度、围操场跑步的长度等等)什么样的问题是求面积?或与面积有关?


(课本等封面大小、刷墙、花坛周围小路面积、给餐桌配玻璃、给课桌配桌布、洒水车洒到的地面、某物品占地面积、买玻璃、买镜子、买布、买地毯、铺地、裁手帕的等等)


B、长方形或正方形纸的剪或拼。有两个或两个以上长方形或正方形拼成新的图形后的面积与周长。从一个图形中(通常是长方形)剪掉一个图形(最大的正方形等)求剪掉部分的面积或周长、求剩下部分的面积或周长。要求先画图,再标上所用数据,最后列式计算。


C、刷墙的(有的中间有黑板、窗户等):用大面积-小面积。


熟练运用进率进行面积单位之间的换算。掌握换算的方法。

1、低级单位——高级单位:数量÷它们间的进率

如:零钱换大钱,张数减少;300平方分米=3平方米

1、高级单位——低级单位:数量×们间的进率

如:大钱换零钱,张数增多;5平方千米=500公顷


注 意:
(1)面积相等的两个图形,周长不一定相等。 
   周长相等的两个图形,面积不一定相等。
(2)大单位换算小单位(乘它们之间的进率)
   
小单位换算大单位(除以它们之间的进率)
(3) 长度单位和面积单位的单位不同,无法比较。
(4)
周长相等的两个长方形,面积不一定相等。面积相等的两个长方形,周长也不一定相等




第六单元  年、月、日




(一)年、月、日
1、常用的时间单位有:(年、月、日)和(时、分、秒)。
2、重要的日子:1949101日,中华人民共和国成立。

11日元旦节、312日植树节,51日劳动节,61日儿童节,71日建党节,81日建军节,910日教师节,101日国庆节


3、熟记每个月的天数:知道大月一个月有31天,小月一个月有30天。平年二月28天,闰年二月29天,二月既不是大月也不是小月。一年有12个月(7大4小1特殊)


可借助歌谣记忆:

一、三、五、七、八、十、腊(即十二月),

三十一天永不差。

四六九冬三十天,只有二月二十八。

每逢四年闰一日,一定要在二月加。


4、熟记全年天数:平年2月28天,闰年2月29天。平年365天,闰年366天。上半年多少天(平年181天,闰年182天),下半年多少天(所有年份都是184天)。


1)季度:一年分四季度,每3个月为一个季度

一、二、三月  第一季度(平年有90天,闰年有91天),

四、五、六月  第二季度(有91天),

七、八、九月  第三季度(92天),

十、十一、十二月  第四季度(有92天)。


(2)会计算每个季度有多少天,连续几个月共有多少天。连续两个月共62天的是:7月和8月,12月和第二年的1月;一年中连续两个月共62天的是:7月和8月。


(3)给出一个天数会计算有几个星期零几天。

如:第三季度有(92)天,有(13 )个星期零( 1)天。平年全年有(365)天,是(52 )个星期零(1)天。


(4)公历年份是4的倍数的一般都是闰年:一般情况下可以用年份除以4的方法判断平年闰年。年份除以4有余数是平年,没有余数是闰年。

如:1978÷4=494……2,1978年是平年。

1988÷4=497,1988年是闰年。


(5)公历年份是整百数的必须是400的倍数才是闰年。

如1900年是平年,2000年是闰年。


5、经过的天数的计算:

公式:结束时间—开始时间 + 1

如:6月12到8月17日是多少天?

6月12日~~6月30日    30-12+1=9(天)

7月有:31(天)     8月1日~~8月17日   有:17(天)

9+31+17=57(天)


6、给出一个人出生的年份,会计算这个人多少周岁;给出一个人的年龄会计算他是哪一年出生的。

如:小华1994年6月出生,到今年6月(15岁)。小华今年12岁,他是(1997年)出生的。


7、通常每4年里有( 1 )个闰年, ( 3 )个平年。
(如果说某个人不是每年都能过到生日,8岁过两次生日,12岁过3次生日,那么他的生日就是2月29日。)


8、推算星期几的方法

例如:已知今天星期三,再过50天星期几?

解析:因为一个星期是七天,那么由50÷7=7(星期)……1(天),知道50天里有7个星期多一天,所以第50天是星期三往后数一天,即星期四。


9、会计算到今年经过的年份:就用2013 - 给的年份例如:中华人民共和国成立于1949年10月1日,到今年建国多少周年?

熟记中华人民共和国建国的时间是1949年10月1日;

算式:2013-1949=64(年)


(二)  24计时法

1、普通计时法又叫12时计时法,就是把一天分成两个12时表示,普通计时法一定要加上“上午”、“下午”等前缀。(如凌晨3时、早上8时、上午10时、下午2时、晚上8时)


2、24时计时法:就是把一天分成24时表示,在表示的时间前可以加或可以不加表示的大概时间段得词语。


3、普通计时法转换成24时计时法时,超过下午1时的时刻用24时计时法表示就是把原来的时刻加上12

如:

普通计时法   24时计时法

上午9时  ===  9时或9:00

晚上9时  ===  21时或21:00


4、反过来要把24时计时法表示的时刻表示成普通计时法的时刻,超过13时的时刻就减12,并加上下午,晚上等字在时刻前面。

比如:16时等于16 - 12 = 下午4时。(必须加前缀)


5、计算经过时间,就是用结束时刻减开始时刻。

结束时刻-开始时刻=时间段(经过时间)

比如:10:00开始营业,22:00结束营业,

营业时间为:22:00—10:00=12(小时)


★(计算经过时间时,一定把不同的计时法变成相同的计时法再计算)

比如:某商品早上8:00开始营业,下午6:00停止营业,一天营业多少时间?

下午6:00=18:00    18:00 - 8:00 = 10(小时)


6、认识时间与时刻的区别:(时间是一段,时刻是一个点

如:火车11:00出发,21时30分到达,火车运行时间是(10时30分),注意不要写成(10:30)。


正确的列式格式为:21时30分-11时=10时30分,不能用电子表的形式相减。

再如:火车19时出发,第二天8时到达,火车运行时间是(13小时)。像这种跨越两天的,可以先计算第一天行驶了多长时间:24-19=5(时),再加上第二天行驶的8个小时:5+8=13(时)

又如:一场球赛,从19时30分开始,进行了155分钟,比赛什么时候结束?先换算,155分=2时35分,再计算。


7、会根据给出的信息制作月历和年历。如:某年8月1日是星期二,制作8月份的月历。再如:某年4月30日是星期


四,制作5月份月历。

制作年历步骤:
第一:确定1月1日是星期几;    
第二:确定12个月怎样排列,
第三:把休息日用另外的颜色标出来。


8、时间单位进率:

1世纪=100年

1年 =12个月

1天(日)=24小时

1小时=60分钟

1分钟=60秒钟

1周=7天




第七单元  小数的初步认识




1、小数的意义:像3.45,0.85,2.60,36.6,1.2和1.5这样的数叫做小数小数是分数的另一种表现形式。


2、小数的认、读、写:限于小数部分不超过两位的小数。整数部分按整数的读法(几百几十几)。小数部分每一位都要读,按读电话号码的方法读,有几个0就读几个零。

例如:127.005读作:一百二十七点零零五。


3、小数与分数的关系、互换。小数不同表示的分数就不同。

例如:0.5=5/10   0.50=50/100


4、运用元/角/分、米/分米/厘米的知识写小数;把7角、7分改写成以元作单位的小数。


5、把“单位1”平均分成10份,每份是它的十分之一,也就是0.1

把“单位1”平均分成100份,每份是它的百分之一,也就是0.01


6分母是10的分数写成一位小数(0.1),
分母是100的分数写成两位小数(0.01)。


7比较两个小数的大小:先比较小数的整数部分,整数部分大的数就大,如果整数部分相同就比较小数的小数部分,小数部分要从小数点后最高位比起。


8比大小的两种情况:跑步是数越少越好;跳远、跳高是数越大越好。


9计算小数加、减法时,小数点对齐,也就是相同数位对齐,再相加、减。


10、小数加减法计算:。
(尤其注意:12-3.9;9+8.3 等题的计算。)


11、小数不一定比整数小。

(如:5.1 >5  ;1.3 > 1等)




第八单元  数学广角-搭配(二)




简单的排列:有序排列才能做到不重复、不遗漏。

简单的组合:组合问题可以用连线的方法来解决。

组合与排列的区别:排列与事物的顺序有关,而组合与事物的顺序无关。




文件预览


下载完整WORD电子版


下载完整WORD电子版请扫码关注班班通教学系统公众号发送消息

期末复习】这4个关键字获取

 

打不开百度网盘链接的地区

可长按扫码直接进入下载


电脑端下载网址

http://jazpan.com/box/238.html


图文来自网络,版权归原作者,如有不妥,告知即删

点击阅读原文下载全册PPT课件动画教案习题整套资料

→→中学生辅导答疑 点这里

1→ 统编教材配套课外阅读书籍

2→ 难懂的数学概念一眼看明白