<
高中数学《5.1正弦函数的图象与性质再认识》微课精讲+知识点+教案课件+习题-一点通教学网
我的
高中数学《5.1正弦函数的图象与性质再认识》微课精讲+知识点+教案课件+习题

语文

数学

英语

物理

化学

生物

史地

政治

道德与法治

美术

音乐

科学全部课程 ↓

知识点:

1、正弦函数图象的作法:

1)描点法:关键是选定一个周期,把这个周期分成四等份,根据三个分点及两个端点所对应的函数值确定出的点,确定函数图象的大致形状;

2)几何法:一般是用三角函数线来作出图象。

注意:①的图象叫正弦曲线;②作图象时自变量要用弧度制;③在对精确度要求不太高时,作的图象一般使用“五点法”。


2、正弦函数的性质

1)定义域为,值域为

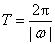
2)周期性:正弦函数具有周期性,这可由诱导公式来推导,其最小正周期是。函数的最小正周期是

3)奇偶性:奇函数;

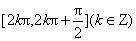
4)单调性:在每一个闭区间上为增函数,在每一个闭区间上为减函数。


3、周期函数

函数周期性的定义:对于函数y,如果存在一个非零常数,使得当取定义域内的每一个值时,都有,那么函数y就叫做周期函数,非零常数叫做这个函数的周期。

如果在周期函数的所有周期中存在一个最小的正数,那么这个最小的正数就叫做函数y的最小正周期。


4、关于函数的图象和性质

1)函数图象在其对称轴处取得最大值或最小值,且相邻的最大值与最小值间的距离为其函数的半个周期;

2)函数图象与x轴的交点是其对称中心,相邻的两个对称中心间的距离也是函数的半个周期;

3)函数取最值的点与其相邻的与x轴的交点间的距离为函数的个周期。


5、正弦型图象的变换方法

1)先平移后伸缩

的图象    的图象

的图象

的图象

的图象。

2)先伸缩后平移

的图象的图象

的图象

的图象

的图象。


视频教学:


练习:

1已知sin(q+p)>0cos(q-p)>0,则下列不等关系中必定成立的是______

A. tan<cot

B. tan>cot

C. sin<cos

D. sin>cos

分析由正弦、余弦函数图象可以确定出的取值范围,进而可求求出的范围后,也可以根据正弦、余弦、正切、余切函数图象的特点比较大小。

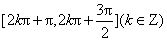
解答:由已知得 -sinq>0 -cosq>0,即sinq<0cosq<0同时成立,

2kp+p<q<2kp+kÎZ,于是kp+<<kp+kÎZ,此时必有tan<-1

-1<cot<0,即tan<cot,所以答案为A

 

2求下列函数的最小正周期

1

2

3

分析:利用函数周期性的定义和最小正周期的概念来解题。的最小正周期是的最小正周期是

解答:1,最小正周期

2,最小正周期

3,最小正周期

 

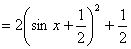
3:求函数的值域。

分析:解此题的关键是统一函数的名,然后利用换元法将其视为二次函数求解。在做题时,有时会出现形如y=asin2x+bcosx+c型的函数,其实质同本例的情况一样,特点是式中同时含有sinxcosx,且其中一个是二次,另一个是一次,处理方法是先应用sin2x+cos2x=1对原式进行变形,使函数式只含有一种三角函数,再应用换元法,将其转化成二次函数来求解。即设,先化为二次函数,再求其在闭区间上的最值。

解答:原式化为

,则,由二次函数图象可知,当时,时,

故所求函数的值域为

 

4试判断下列各函数的奇偶性。

1      2 

分析:函数具有奇偶性,则其定义域在数轴上关于原点对称,所以判定函数的奇偶性时,应首先判断函数的定义域是否关于原点对称。在解答这道题时,也可以先化简再判断奇偶性,但在化简的过程中需要注意等价性,否则就可能会出错。

解答:⑴定义域为kZ

且有

所以函数为偶函数。

 定义域为R,且有

,所以函数是奇函数。


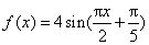
5已知函数=Asin(w x+j)+(其中A>0w>00<j<2p)一个周期的图象上有最高点(3)和最低点(-5),则=

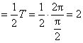
分析:根据已知所给的点的信息可列出两个方程,再由正弦型函数的图象特点,结合图象变换的规律可求解出各个变量的值。题目中给出的最高点与最低点确定了振幅A与竖直方向的平移量k,这是本题的突破口。求的一般方法是找到一个已知点,然后将其坐标代入即可。但当已知点不是最高点或最低点时,要特别注意应由该点所在区间的单调性来确定的取值。

解答:由已知可得k=-1A=4,函数的最小正周期T=,则T=p

=pw=2,并有2´+j=,解得j =,所以=4sin(2x+)-1

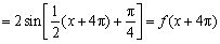
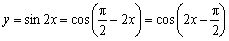
6如何变换的图象可得到函数的图象?

分析:应先通过诱导公式将其转化为同名三角函数。无论哪种变换都是针对字母而言的。例如将的图象向左平移个单位长度得到的函数图象的解析式是,而不是,把的图象的横坐标缩小为原来的,得到的函数图象的解析式是而不是

解答:

中以代替,有

根据题意,有,得

所以将的图象向左平移个单位长度可得到函数的图象。

 

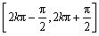
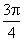
71)直线a为常数)与正切曲线相交的相邻两点间的距离是                   

2)设函数,若对任意,都有成立,则的最小值是                   

3)为了使函数在区间上至少出现50次最大值,则的最小值是                 

分析:对于一些没有直接指出三角函数最小正周期的问题,解题的关键是正确理解题意,通过运用数形结合的方法,准确找出隐含的最小正周期的个数,将问题化归为我们熟悉的正弦函数、余弦函数及正切函数的最小正周期问题加以解决。因此,正确理解题意,进行等价转化是解题的关键。

函数

的最小正周期公式是,函数的最小正周期公式。结合图形进行分析,对正确理解题意有着至关重要的作用。


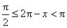
解答:1)由正切曲线的图象可知,直线a为常数)与正切曲线相交的相邻两点间的距离恰好就是函数的最小正周期,为

2)由正弦曲线的图象可知,分别是函数的最小值、最大值,的最小值就是相邻两点间最小值、最大值横坐标之间的距离,等于函数的个周期,故的最小值

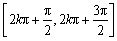
3)∵函数在区间上至少出现50次最大值,∴在区间上至少含有个周期。∴,得,故的最小值是


8:求函数的值域并指出它的单调递增区间。

分析:根据三角函数的周期性可知只需对自变量区间[02p]上的函数性质加以研究即可,再由反三角函数的性质可知应按自变量Î[0][p][p][2p]四种不同的情形来求解。本题综合考查了三角函数与反三角函数的定义域、值域、单调性问题。值得注意的是虽然,但两个式子中自变量的取值范围却不同。

解答:

 所以,是以2p为周期的周期函数。

,则

,则

,则

   ,则

函数的图象如图所示,所以函数的值域是,它在上严格单调递增,在上严格单调递减。

课件:


教案:

一、教材地位和作用

本节课的内容是选自上海教育出版社出版的高中一年级第二学期(试用本)中第六章《三角函数》第一节。三角函数是把已经学习过的三角比的知识和函数知识结合起来,是刻画生活中周期现象问题的典型的函数模型,在高中数学知识体系中占有十分重要的地位。本节课作为《三角函数》开篇的第一课时,主要解决了正弦、余弦函数的定义和其图像的画法问题,为后面更好地学习三角函数的性质打下牢固的基础。

二、教学目标分析

教学目标:

1.掌握正弦函数和余弦函数的概念。

2.学会利用单位圆中的正弦线作出正弦函数在上的图像的方法;并正确运用五点法作出正弦函数在上的大致图像。

3.利用诱导公式,通过图像平移作出余弦函数的图像。

4.进一步形成数形结合的思想方法,以及分析问题、解决问题的能力。

教学重点、难点:

重点:五点法作出正弦函数在上的大致图像;通过图像平移作出余弦函数的图像。

难点:利用单位圆中的正弦线作出正弦函数在上的图像。

三、教学问题诊断

高一学生对函数概念的理解本身就是难点,再加上三角比知识,就要求学生有较高的理解和综合的能力。关于作图方面,在前面函数的章节中,学生已经学习了画函数图像的一些方法,如幂函数、指数函数、对数函数等可以用列表描点法、图像平移翻折等方法作出其图像。基于上述情况,预测学生对于本节课的内容,会有以下的一些困难:

1.概念的引出,把三角与函数两个概念结合起来,正确理解正弦函数和余弦函数。

2.利用单位圆的正弦线作出正弦函数在上的图像。

3.正确掌握五点法的作图步骤与要求。

4.按照正弦函数的作图方法,学生自己解决画余弦函数图像的一些方法。

四、教学特色

1.引例的设计意图

学生在物理学中已学习过圆周运动,创设摩天轮情境更能贴近学生实际,在解决这一问题的过程中,学生经历了运用数学模型来刻画周期现象的整个过程,既体会到三角函数的本质又调动了学生学习积极性。另外,从实际问题中抽象出的单位圆进行研究,起到了承上启下的作用,既复习了三角比的内容,又为正弦函数作图时所用到的正弦线打下伏笔。

2.处理一般方法与特殊方法的关系

1)在讲到作正弦函数的图像时,突出函数作图的一般方法(列表求值)与三角函数特殊作图方法(利用单位圆中的三角函数线)相结合,从代数和几何的角度实现描点。

2)在学生掌握了正弦曲线的形状后,利用连续函数的特点,抓住一个周期内五个关键点的位置进行五点作图的教学。使学生了解一般中蕴含特殊,用特殊体现一般的辩证关系。

3.以问题驱动方式贯穿整节课

以问题调动学生思维,以问题带动课堂教学。充分体现了教师主导作用,学生自主探究的教学方法。主要问题例举如下:

其一:正弦函数的概念

引例解决后:得,教师提问:“这是否为函数关系式?”

〖说明〗启发学生从函数定义去思考。

当学生肯定了引例中是函数关系式后,教师再问:“如果把t改为x,把h改为y,将定义域范围变为R,那么还是函数吗?”

〖说明〗这样就从引例很自然的过渡到了正弦函数的定义。

其二:作正弦函数的图像

在开始引入正弦函数作图时,教师提问:“如何作出正弦函数的图像?

〖说明〗让学生回忆对于函数作图的一般方法。

在肯定了列表描点法是作函数图像的一般方法之后,教师再问:“那么,是否还有其他作图的方法?能不能不算出正弦值?三角比中的正弦三角比是否有其几何意义呢?”

〖说明〗体现一般与特殊的关系,代数与几何的两个不同的角度思考问题。

在引出利用单位圆的正弦线作图之后,教师再问:“在作图中,我们是否直接作出整个定义域上正弦函数的图像?”

〖说明〗目的是为了简化作图,同时也体现了三角函数是解决周期现象的典型的数学模型。

在学生已经了解了正弦函数图像的大致形状,也发现这是个连续的函数图像之后,教师再问:“那么,当作图的精确度要求不太高的时候,我们是否可以通过确定一些关键点的位置来快速的作出正弦函数的大致图像?请再来观察一下刚才在上作的图像,其中有哪几个关键点?并请说出它们的坐标。

〖说明〗解决问题要抓住事物的主要矛盾,这也是为了简化作图。

其三:作余弦函数的图像

在掌握了正弦函数的作图方法后,教师提问:“如何作出图像?”,学生思考后教师再问:“正余弦之间关系密切,那么能不能利用正弦函数的图像通过图形变换,来作出余弦函数的图像呢?”

〖说明〗引出余弦函数的图像可以说是本节课的高潮部分了。在这里,学生们可以畅所欲言,想出各种解决方法,也是学生综合能力地体现。

4.计算机辅助教学与教师板书示范相结合

本节课的重、难点是作函数的图像。因此,在教学中借助几何画板制作的动态作图演示,具有非常形象的效果。通过课件的动态表现,使抽象的问题具体化、形象化,有利于学生的理解和认知。

数学课的教学离不开黑板上的规范板演,通过黑板的例题示范,弥补了课件演示一闪即过的不足,加深学生对正弦函数的印象,特别是五点确定以后,如何用光滑的曲线描点,在描点中应该注意图像递增递减的趋势,以求实现多媒体和传统黑板教学两者的相互结合,互为补充,发挥彼此最大优势。

五、预期效果分析

在本堂课的教学中,以问题驱动为主,师生共同进行分析探究。着重体现了学生的独立思考,小组讨论和亲手体验作图的整个过程。教师通过提问、课件动态展示、黑板规范板书、学生练习点评等等多种教学形式,组织学生积极参与课堂活动,将教与学有效地结合起来。从思维深度上和动手实践上,充分激发了学生的学习和钻研兴趣,调动了学习热情。

 

附:简案

教学环节

教学过程

师生活动

创设情景

引入概念

引例:如图,质点在圆周上作逆时针的匀速圆周运动。设半径r1个单位长,角速度ω=1弧度/分钟,当时刻时,处,求经过t)分钟后,到平台所在平面的相对高度ht的关系式。

教师引导学生共同分析。

讲授新课

探究方法

1.正弦、余弦函数的定义

正弦函数

余弦函数

2.正弦、余弦函数的图像

1)正弦函数的图像

思考:如何作出正弦函数的图像?

探究:借助单位圆中的正弦线作出正弦函数在上的图像,再作出正弦函数在R上的图像。

2)五点法

思考:是否可以通过确定一些关键位置的点来作出正弦函数在上的大致图像? 

3)余弦函数的图像

探究:如何作出余弦函数图像?

教师引导学生共同探究。

例题示范

练习巩固

例题:作出函数上的大致图像。

练习:作出函数上的大致图像。

教师与学生共同完成例题,并纠正常见错误,学生通过练习加以巩固。

课堂小结

提炼精华

小结:知识点、思想方法。

学生小结,教师总结。


高中生学习推荐:
高中语文(微课+课件+教案+考点)汇总
高中英语(微课+课件+教案+考点)汇总
高中化学(微课+课件+教案+考点)汇总
高中物理(微课+课件+教案+考点)汇总
高中数学(微课+课件+教案+练习题)汇总
高中生物(微课+课件+教案+练习题)汇总
高中历史(必修+选修)微课精讲+考点汇总
高中政治(必修+选修)微课精讲+考点汇总

高中地理(必修+选修)微课精讲+考点汇总


图文来自网络,版权归原作者,如有不妥,告知即删

点击阅读原文下载全册PPT课件动画教案习题整套资料

→→中学生辅导答疑 点这里

1→ 统编教材配套课外阅读书籍

2→ 难懂的数学概念一眼看明白