<
高中数学《1.1复数的概念》微课精讲+知识点+教案课件+习题-一点通教学网
我的
高中数学《1.1复数的概念》微课精讲+知识点+教案课件+习题

语文

数学

英语

物理

化学

生物

史地

政治

道德与法治

美术

音乐

科学全部课程 ↓

知识点:

基本概念


1.定义

形如a+bi的数叫做复数(a,b∈R),其中a叫做复数的实部,b叫做虚部

2.分类

实数:当b=0时,复数a+bi为实数

虚数:当b≠0时,复数a+bi为虚数

纯虚数:当a=0,b≠0时,复数a+bi为纯虚数

3.两个复数相等的定义:

如果两个复数实部相等且虚部相等就说这两个复数相等.

例如:如果a+bi=c+di,则a=c且b=d,另外当a+bi=0,则a=0且b=0

备注:

两个虚数(b≠0)是不能比较大小的,即使是纯虚数也是不能比较大小的,具体举例如下:

 3+i与8+2i,虽然后面的虚数的实部跟虚部都是大于前面的虚数,但是仍不能比较大小。

② 2+i与4+2i虽然后面的虚数是前面虚数的2倍,但是不能比较大小

③ 3i跟5i,两个都是纯虚数,但是不能比较大小的

4.共轭复数:

当两个复数实部相等,虚部互为相反数时,这两个复数互为共轭复数.

例如:z=a+bi的共轭复数是


视频教学:


练习:

1.设复数Z满足|Z-3-4i|=1,则|Z|的最大值是

A.3
B.4
C.5
D.6


2.复数(5-6i)+(-2-i)-(3+4i)所对应的点在

A.第一象限
B.第二象限
C.y轴正半轴
D.y轴负半轴


3.已知复数Z满足|Z+2|-|Z-2|=1,则复数Z的对应点在复平面上的集合是

A.线段
B.椭圆
C.双曲线
D.双曲线的一支


4.△ABC的三个顶点对应的复数分别是Z1、Z2、Z3,若复数Z满足|Z-Z1|=|Z-Z2|=|Z-Z3|,则Z对应的点应为△ABC的

A.内心
B.垂心
C.重心
D.外心


课件:


教案:

 教材分析

本节作为复数一章的开篇,主要包括数系概念的发展简介,数系的扩充,复数的相关概念、分类、相等条件,代数表示和几何意义.

复数的引入是中学阶段数系的又一次扩充,引入复数以后,这不仅可以使学生对于数的概念有一个初步的、完整的认知,也为进一步学习数学打下基础.通过本节课学习,要使学生在问题情境中了解数系扩充的过程以及引入复数的必要性,学习复数的一些基本知识,体会人类理性思维在数系扩充中的作用.

 教学目标与核心素养

课程目标

1.了解引进虚数单位i的必要性,了解数集的扩充过程.

2.理解复数的概念、表示法及相关概念.

3.掌握复数的分类及复数相等的充要条件

数学学科素养

1.数学抽象:复数及相关概念;

2.逻辑推理:复数的分类;

3.数学运算:复数相等求参.

教学重难点 

重点:复数的分类及复数相等的充要条件. 

难点:复数的概念.

 课前准备

教学方法:以学生为主体,小组为单位,采用诱思探究式教学,精讲多练。

教学工具:多媒体。

 教学过程

一、 情景导入

提问:1NZQR分别代表什么?它们的如何发展得来的?

2.若给方程一个解,则这个解要满足什么条件?是否在实数集中?实数相乘、相加的结果应如何?

要求:让学生自由发言,教师不做判断。而是引导学生进一步观察.研探.

二、预习课本,引入新课

阅读课本68-69页,思考并完成以下问题

1、实数系经过扩充后得到的新数集是什么?复数集如何分类?

2、复数能否比较大小?复数相等的充要条件是什么?纯虚数、虚数、实数、复数关系如何?

要求:学生独立完成,以小组为单位,组内可商量,最终选出代表回答问题。

三、新知探究

1.复数的概念zabi(abR)

 

全体复数所构成的集合C{abi|abR},叫做复数集.

2.复数相等的充要条件

abcd都是实数,那么abicdiacbd.

3.复数的分类

思考:复数集、实数集、虚数集、纯虚数集之间存在怎样的关系?

[提示]

四、典例分析、举一反三

题型一  复数的概念

1下列命题中,正确命题的个数是                 ()

xyC,则xyi1i的充要条件是xy1

abRa>b,则ai>bi

x2y20,则xy0

一个复数为纯虚数的充要条件是这个复数的实部等于零;

1没有平方根;

aR,则(a1)i是纯虚数.

A0           B1           C2           D3

【答案】A

【解析】由于xyC,所以xyi不一定是复数的代数形式,不符合复数相等的充要条件,错.

由于两个虚数不能比较大小,所以错.

x1yi时,x2y20也成立,所以错.

当一个复数实部等于零,虚部也等于零时,复数为0,所以错.

1的平方根为±i,所以错.

a=-1时,(a1)i0是实数,所以错.故选A.

解题技巧(复数概念的理解)

(1)两个复数不全是实数,就不能比较大小.

(2)一个数的平方非负在实数范围内是真命题,在复数范围内是假命题,所以在判定数的性质和结论时,一定要关注在哪个数集上.

(3)对于复数实部、虚部的确定不但要把复数化为abi的形式,更要注意这里ab均为实数时,才能确定复数的实、虚部.

跟踪训练一

1.下列命题正确的是________

复数-i1的虚部为-1.

z1z2Cz1z2>0,则z1>z2.

任意两个复数都不能比较大小.

【答案】

【解析】复数-i11i,虚部为-1,正确;z1z2不全为实数,则z1z2不能比较大小,错误;若两个复数都是实数,可以比较大小,错误.

题型二  复数的分类

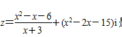
2实数x分别取什么值时,复数(1)实数;(2)虚数;(3)纯虚数.

【答案】(1) x5时,z是实数.(2) x3x≠5时,z是虚数.(3)x=-2x3时,z是纯虚数.


解题技巧: (复数分类的注意事项)

判断一个复数在什么情况下是实数、虚数或者纯虚数,应首先保证复数的实部、虚部均有意义.其次根据分类的标准,列出实部、虚部应满足的关系式再求解.

跟踪训练二

1.实数m为何值时,zlg(m22m1)(m23m2)i(1)实数;(2)虚数;(3)纯虚数.


题型三  复数相等的充要条件

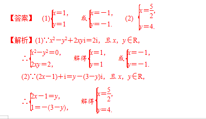
3 根据下列条件,分别求实数xy的值.

(1)x2y22xyi2i

(2)(2x1)iy(3y)i.



解题技巧(复数相等问题的解题步骤)

复数相等的充要条件是复数问题实数化的主要依据,多用来求参数,其步骤是:分别确定两个复数的实部与虚部,利用实部与实部、虚部与虚部分别相等,列方程组求解.

跟踪训练三

1.已知M{2m22m(m2m2)i}N{1,2,4i},若MNN,求实数m的值.

【答案】12.

【解析】因为MNN所以MN


五、课堂小结

让学生总结本节课所学主要知识及解题技巧

六、板书设计


七、作业

课本70页练习,73页习题7.11-3.

教学反思 

本节是本章的入门课,概念较多,但难度不大.通过使学生体会数系的扩充是生产实践的需要,是数学学科自身发展的需要,从而让学生积极主动地建构虚数的概念、复数的概念、复数的分类等.进而对本节课的知识掌握的更加牢固. 


高中生学习推荐:
高中语文(微课+课件+教案+考点)汇总
高中英语(微课+课件+教案+考点)汇总
高中化学(微课+课件+教案+考点)汇总
高中物理(微课+课件+教案+考点)汇总
高中数学(微课+课件+教案+练习题)汇总
高中生物(微课+课件+教案+练习题)汇总
高中历史(必修+选修)微课精讲+考点汇总
高中政治(必修+选修)微课精讲+考点汇总

高中地理(必修+选修)微课精讲+考点汇总


图文来自网络,版权归原作者,如有不妥,告知即删

点击阅读原文下载全册PPT课件动画教案习题整套资料

→→中学生辅导答疑 点这里

1→ 统编教材配套课外阅读书籍

2→ 难懂的数学概念一眼看明白