<
高中数学《2.2复数的乘法与除法》微课精讲+知识点+教案课件+习题-一点通教学网
我的
高中数学《2.2复数的乘法与除法》微课精讲+知识点+教案课件+习题

语文

数学

英语

物理

化学

生物

史地

政治

道德与法治

美术

音乐

科学全部课程 ↓

知识点:

z1·z2=(a1+b1i)·(a2+b2i)

       =a1a2+a1b2i+a2b1i+b1b2i2

 =(a1a2-b1b2)+(a1b2+a2b1)i


视频教学:



练习:


课件:


教案:

 教材分析

复数四则运算是本章的重点,复数代数形式的乘法与多项式乘法是类似的,不同的是即必须在所得结果中把i2换成-1,再把实部、虚部分别合并.复数的除法运算法则是通过分子分母同时乘分母的共轭复数,将分母实数化转化为乘法运算而得出的.渗透了转化的数学思想方法,使学生体会数学思想的素材.

 教学目标与核心素养

课程目标

1.掌握复数代数形式的乘法和除法运算

2.理解复数乘法的交换律、结合律和乘法对加法的分配律;

3.理解且会求复数范围内的方程根.

数学学科素养

1.数学抽象:复数乘法、除法运算法则;

2.逻辑推理:复数乘法运算律的推导;

3.数学运算:复数四则运算;

4.数学建模:结合实数范围内求根公式和复数四则运算,解决复数范围内的方程根问题.

教学重难点

重点:复数代数形式的乘法和除法运算 

难点:求复数范围内的方程根.

 课前准备

教学方法:以学生为主体,小组为单位,采用诱思探究式教学,精讲多练.

教学工具:多媒体.

教学过程

一、 情景导入

前面学习了复数的加法、减法运算,根据多项式的乘法、除法运算法则猜测复数的乘法、除法满足何种运算法则?

要求:让学生自由发言,教师不做判断。而是引导学生进一步观察.研探.

二、预习课本,引入新课

阅读课本77-79页,思考并完成以下问题

1、复数乘法、除法的运算法则是什么?

2、复数乘法的多项式运算与实数的多项式运算法则是否相同?如何应用共轭复数解决问题?

要求:学生独立完成,以小组为单位,组内可商量,最终选出代表回答问题。

三、新知探究

1.复数代数形式的乘法法则

已知z1abiz2cdiabcdR,则z1·z2(abi)(cdi)(acbd)(adbc)i.

 [提示]复数的乘法与多项式乘法是类似的,有一点不同即必须在所得结果中把i2换成-1,再把实部、虚部分别合并.

2.复数乘法的运算律

对于任意z1z2z3C,有

交换律

z1·z2z2·z1

结合律

(z1·z2z3z1·(z2·z3)

乘法对加法的分配律

z1(z2z3)z1·z2z1·z3

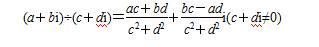
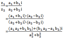
3.复数代数形式的除法法则

四、典例分析、举一反三

题型一  复数的乘法运算

1计算下列各题.

(1)(12i)(34i) (2i)(2)(23i)(23i)(3)1+i.

【答案】(1) 2015i.  (2) 13.   (3) 2i.

【解析】(1)原式=(112i)(-2i)-2015i.

(2)原式=(2i)(15i)(34i)2i49i24+913.

(3)原式=12ii212i12i.

解题技巧(复数乘法运算技巧)

1.两个复数代数形式乘法的一般方法

(1)首先按多项式的乘法展开.

(2)再将i2换成1.

(3)然后再进行复数的加、减运算,化简为复数的代数形式.

2.常用公式

(1)(abi)2a2b22abi(abR)

 

(2)(abi)(abi)a2b2(abR)

(3)(1±i)2±2i. 

跟踪训练一

1.计算:(1i)2(23i)(23i)()

A213iB132i

C1313iD.-132i

【答案】D.

【解析】  (1i)2(23i)(23i)12ii2(49i2)=-132i.

2.若复数(1i)(ai)在复平面内对应的点在第二象限,则实数a的取值范围是()

A(1)  B(,-1)

C(1,+∞)  D(1,+∞)

【答案】B.

【解析】因为z(1i)(ai)a1(1a)i


题型二  复数的除法运算

2计算(12i)(34i).


解题技巧: (复数的除法运算技巧)

1.两个复数代数形式的除法运算步骤

(1)首先将除式写为分式;

(2)再将分子、分母同乘以分母的共轭复数;

(3)然后将分子、分母分别进行乘法运算,并将其化为复数的代数形式.

2.常用公式

   (1)=-i(2)i(3)=-i.

跟踪训练二

题型三  复数范围内的方程根问题

在复数范围内解下列方程:


解题技巧(解决复数方程根问题的技巧)

与复数方程有关的问题,一般是利用复数相等的充要条件,把复数问题实数化进行求解.根与系数的关系仍适用,但判别式“Δ”不再适用.

跟踪训练三

1、已知1i是方程x2bxc0的一个根(bc为实数)

(1)bc的值;

(2)试判断1i是否是方程的根.

【答案】(1)b=-2c2. (2)1i也是方程的一个根.

【解析】(1)因为1i是方程x2bxc0的根,

(1i)2b(1i)c0,即(bc)(2b)i0.

(2)将方程化为x22x20,把1i代入方程左边x22x2(1i)22(1i)20,显然方程成立,1i也是方程的一个根.

五、课堂小结

让学生总结本节课所学主要知识及解题技巧

六、板书设计


七、作业

课本80页练习,80页习题7.2的剩余题.

教学反思 

本节课主要是在学生了解复数的加减运算及共轭复数的基础上,类比多项式的乘除运算法则探讨得出复数的乘除运算法则,使学生对知识更加融会贯通.尤其在例3,使学生对方程的根有了更深刻的认识.


高中生学习推荐:
高中语文(微课+课件+教案+考点)汇总
高中英语(微课+课件+教案+考点)汇总
高中化学(微课+课件+教案+考点)汇总
高中物理(微课+课件+教案+考点)汇总
高中数学(微课+课件+教案+练习题)汇总
高中生物(微课+课件+教案+练习题)汇总
高中历史(必修+选修)微课精讲+考点汇总
高中政治(必修+选修)微课精讲+考点汇总

高中地理(必修+选修)微课精讲+考点汇总


图文来自网络,版权归原作者,如有不妥,告知即删

点击阅读原文下载全册PPT课件动画教案习题整套资料

→→中学生辅导答疑 点这里

1→ 统编教材配套课外阅读书籍

2→ 难懂的数学概念一眼看明白