<
高中数学《3.1复数的三角表示式》微课精讲+知识点+教案课件+习题-一点通教学网
我的
高中数学《3.1复数的三角表示式》微课精讲+知识点+教案课件+习题

语文

数学

英语

物理

化学

生物

史地

政治

道德与法治

美术

音乐

科学全部课程 ↓

知识点:

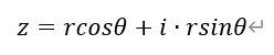
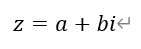
[复数的三角形式]设非零复数z,其中a,b∈R

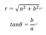
对应复平面上的点Z(a,b),且向量OZ的模r,与x轴正半轴的夹角为θ。即有


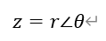
则将

称为复数的三角形式。


其中r即为复数的模,θ称为复数的辐角,它在[0,2π)内的取值被称为辐角的主值,一般记为argZ。复数的三角形式还可以记为,

 


视频教学:



练习:

1.(多选)cos+isin·cos+isin的结果是(  )

                

A.实数       B.复数       C.虚数       D.纯虚数

2.4(cos π+isin π)÷2cos+isin=(  )

A.1+i       B.1-i

C.-1+i       D.-1-i

3.把复数a+bi(a,bR)在复平面内对应的向量绕原点O顺时针方向旋转90°后所得向量对应的复数为(  )

A.a-bi       B.-a+bi

C.b-ai       D.-b+ai

4.8i÷2(cos 45°+isin 45°)=     ,其模为     

5.在复平面内,把与复数-2+2i对应的向量绕原点O按逆时针方向旋转75°,求与所得向量对应的复数.


课件:


教案:

教材分析

《复数的三角形式》是复数这一章中的一个重要内容,引进复数三角式的依据是复数的几何意义和三角函数的定义,它是数形结合的产物,有了它就可借助三角知识帮助处理复数的一些问题.

 教学目标与核心素养

课程目标

1. 掌握复数的三角形式,熟练进行两种形式的转化; 

2. 培养学生的转化,推理及运算能力;

3. 通过学习本节知识,使学生体会数学的严谨美与图形美.

数学学科素养

1.数学抽象:复数三角表示的理解;

2.直观想象:复数的辐角及辐角的主值的含义;

3.数学运算:复数的代数表示与三角表示之间的转化.

 教学重难点

重点:复数三角表达式的理解及其与代数表达式之间的互化. 

难点:复数三角表达式的理解.

 教学过程

教学方法:以学生为主体,小组为单位,采用诱思探究式教学,精讲多练.

教学工具:多媒体.

 

一、 情景导入

提问:

1、如图,角θ的终边上一点P(xy),设P到原点O的距离|OP|r,那么怎样用角θr表示xy? 

 

2、我们知道,复数可以用abi(abR)的形式来表示,复数abi与复平面内的点Z(ab)一一对应,与平面向量也是一一对应的,如图,你能用向量的模r和以x轴的非负半轴为始边,以向量所在射线(射线OZ)为终边的角θ来表示复数z吗?

 

要求:让学生自由发言,教师不做判断。而是引导学生进一步观察.研探.

二、预习课本,引入新课

阅读课本83-85页,思考并完成以下问题

1、什么是辐角,辐角的主值用什么表示?取值范围是多少?

2、复数的三角形式是怎样定义的?又有什么特点?

3、两个用三角形式表示的复数相等的充要条件是什么?

要求:学生独立完成,以小组为单位,组内可商量,最终选出代表回答问题。

三、新知探究

1 .复数的辐角

 x轴的正半轴为始边、向量OZ所在的射线为终边的角,叫做复数z=a+bi的辐角。

适合于 0≤θ<2π的辐角θ的值,叫辐角的主值。记作:argz,即 0≤arg z<2π.

2.复数的三角表达式

一般地,任何一个复数zabi都可以表示成r(cosθ+isinθ)的形式.其中,r是复数的模;θ是复数zabi的辐角.r(cosθ+isinθ)叫做复数zabi的三角表示式,简称三角形式.为了与三角形式区分开来a+bi叫做复数的代数表示式,简称代数形式.

注意:复数三角形式的特点

模非负,角相同,余弦前,加号连

3、两个用三角形式表示的复数相等的充要条件:

两个非零复数相等当且仅当它们模与辐角的主值分别相等.

四、典例分析、举一反三

题型一  复数的三角形式

1下列复数是不是三角形式?若不是,把它们表示成三角形式.

解题技巧(复数三角形式的判断依据和变形步骤)

(1)判断依据:三角形式的结构特征:模非负,角相同,余弦前,加号连.

(2)变形步骤:首先确定复数z对应点所在象限(此处可假定θ为锐角),其次判断是否要变换三角函数名称,最后确定辐角.此步骤可简称为定点定名定角”.

跟踪训练一

1.下列复数是不是三角形式?若不是,把它们表示成三角形式.

题型二  复数的代数形式表示成三角形式

画出下列复数对应的向量,并把这些复数表示成三角形式:


解题技巧: (复数的代数形式化三角形式的步骤)

(1)先求复数的模;

(2)决定辐角所在的象限;

(3)根据象限求出辐角(常取它的主值)

(4)写出复数的三角形式.

跟踪训练二

1把下列复数表示成三角形式:

题型三  把复数表示成代数形式

分别指出下列复数的模和一个辐角,画出它们对应的向量,并把这些复数表示成代数形式:


解题技巧(把复数表示成代数形式的注意事项)

1)类似三角形式的复数求模和辐角时,注意三角形式的结构特征:模非负,角相同,余弦前,加号连.

2)由三角形式表示成代数形式,直接求出角的三角函数值,化简即可.

跟踪训练三

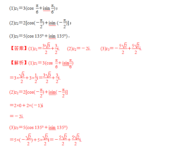
1.把下列复数表示成代数形式:

五、课堂小结

让学生总结本节课所学主要知识及解题技巧

六、板书设计


七、作业

课本86页练习,89页习题7.312.

教学反思 

本节课主要是在学生了解复数的代数形式及向量知识的基础上,探索复数的另一种表示方法,对于本节题型,注重让学生总结解题技巧,便于学生对知识有更系统的认知. 




图文来自网络,版权归原作者,如有不妥,告知即删

点击阅读原文下载全册PPT课件动画教案习题整套资料

→→中学生辅导答疑 点这里

1→ 统编教材配套课外阅读书籍

2→ 难懂的数学概念一眼看明白