<
高中数学《§ 2直观图》微课精讲+知识点+教案课件+习题-一点通教学网
我的
高中数学《§ 2直观图》微课精讲+知识点+教案课件+习题

语文

数学

英语

物理

化学

生物

史地

政治

道德与法治

美术

音乐

科学全部课程 ↓

知识点:



视频教学:



练习:

1.给出以下关于斜二测直观图的结论,其中正确的个数是(  )

①角的水平放置的直观图一定是角.

②相等的角在直观图中仍相等.

③相等的线段在直观图中仍然相等.

④若两条线段平行,则在直观图中对应的两条线段仍然平行.

A.0    B.1    C.2    D.3

[答案] C

[解析] 由斜二测画法规则可知,直观图保持线段的平行性,∴④对,①对;而线段的长度,角的大小在直观图中都会发生改变,∴②③错.

2.利用斜二测画法得到:

①三角形的直观图是三角形;②平行四边形的直观图是平行四边形;③正方形的直观图是正方形;④菱形的直观图是菱形.

以上说法正确的是(  )

A.       B.①② 

C.③④       D.①②③④

[答案] B

[解析] 根据画法规则,平行性保持不变,与y轴平行的线段长度减半.

3如图所示的直观图是将正方体模型放置在你的水平视线的左上角而绘制的,其中正确的是(  )

[答案] A

[解析] 由几何体直观图画法及立体图形中虚线的使用可知A正确.

4如图为一平面图形的直观图,则此平面图形可能是选项中的(  )

[答案] C

[解析] 由直观图一边在x轴上,一边与y轴平行,知原图为直角梯形.

5已知一个正方形的直观图是一个平行四边形,其中有一边长为4,则此正方形的面积是(  )

A.16       B.64

C.16或64       D.无法确定

[答案] D

6.如图所示,ABC′是水平放置的△ABC的直观图,则在△ABC的三边及中线AD中,最长的线段是(  )

A.AB       B.AD

C.BC       D.AC

[答案] D

[解析] ABC是直角三角形,且∠ABC=90°,则ACABACADACBC.

7如图,矩形OABC′是水平放置的一个平面图形的直观图,其中OA′=4,OC′=2,则原图形是(  )

A.正方形       B.矩形

C.菱形       D.梯形

[答案] C

8.一个建筑物上部为四棱锥,下部为长方体,且四棱锥的底面与长方体的上底面尺寸一样,已知长方体的长、宽、高分别为20m,5m,10m,四棱锥的高为8m,若按1500的比例画出它的直观图,那么直观图中,长方体的长、宽、高和棱锥的高应分别为(  )

A.4cm,1cm, 2cm,1.6cm

B.4cm,0.5cm,2cm,0.8cm

C.4cm,0.5cm,2cm,1.6cm

D.2cm,0.5cm,1cm,0.8cm

[答案] C

[解析] 由比例尺可知长方体的长、宽、高和四棱锥的高分别为4cm,1cm,2cm和1.6cm,再结合斜二测画法,可知直观图的相应尺寸应分别为4cm,0.5cm,2cm,1.6cm.

9已知△ABC是边长为2a的正三角形,那么它的平面直观图△ABC′的面积为(  )

A.3)2a2       B.3)4a2 

C.6)4a2       D.6a2

[答案] C

[解析] SABC12·2a·3a·2)46)4a2.

10已知两个圆锥,底面重合在一起,其中一个圆锥顶点到底面的距离为2cm,另一个圆锥顶点到底面的距离为3cm,则其直观图中这两个顶点之间的距离为(  )

A.2cm       B.3cm 

C.2.5cm       D.5cm

[答案] D

[解析] 圆锥顶点到底面的距离即圆锥的高,故两顶点间距离为2+3=5cm,在直观图中与z轴平行线段长度不变,仍为5cm.

课件:


教案:

教材分析

画出空间几何体的直观图是学生学好立体几何的必要条件.本节课主要介绍了最常用的、直观性好的斜二测画法.而水平放置的平面图形的直观图画法,是画空间几何体直观图的基础.教学的重点是斜二测画法.教材给出了正六边形、长方体、圆柱直观图画法.教学可以适当延伸,讨论正三角形、六棱柱、组合体等的直观图画法.

 教学目标与核心素养

课程目标

1.掌握斜二测画法画水平设置的平面图形的直观图

2.通过观察和类比,利用斜二测画法画出空间几何体的直观图

数学学科素养

1.数学抽象:斜二测画法的理解;

2.数学运算:与直观图还原的有关计算;

3.数学建模:画平面几何和空间几何体的直观图.

 教学重难点

重点:用斜二测画法画空间几何值的直观图

难点:用斜二测画法画空间几何值的直观图.

 课前准备

教学方法以学生为主体,小组为单位,采用诱思探究式教学精讲多练

教学工具多媒体

 教学过程

一、 情景导入

前面已经学习了常见地7种空间几何体,那么如何画出他们地直观图呢?

要求:让学生自由发言,教师不做判断。而是引导学生进一步观察.研探. 

 

二、预习课本,引入新课

阅读课本107-111页,思考并完成以下问题

1.画平面图形的直观图的步骤是什么?

2.画简单几何体的直观图的步骤是什么?

3.水平放置的平面图形的直观图的斜二测画法有哪些规则?

要求:学生独立完成,以小组为单位,组内可商量,最终选出代表回答问题。

三、新知探究

1.用斜二测画法画平面图形的直观图的步骤

(1)在已知图形中取互相垂直的x轴和y轴,两轴相交于点O,画直观图时,把它们画成对应的x′轴和y′轴, 两轴相交于点O′,且使x′O′y′=45°(或135°),它们确定的平面表示水平面.

(2)已知图形中平行于x轴或y轴的线段,在直观图中分别画成平行x′轴或y′轴的线段.

(3)已知图形中平行于x轴的线段,在直观图中保持原长度不变,平行于y轴的线段,长度变为原来地一半.            

2.用斜二测画法画空间几何体的直观图的步骤

(1)画底面,这时使用平面图形的斜二测画法即可.

(2)画z′轴,z′轴过点O′,且与x′轴的夹角为90°,并画出高线(与原图高线相等,画正棱柱时只需要画侧棱即可),连线成图.

(3)擦去辅助线,被遮线用虚线表示.

四、典例分析、举一反三

题型一  水平放置的平面图形直观图的画法

用斜二测画法画水平放置的正六边形的直观图.

【答案】见解析.



解题技巧画水平放置的平面图形的直观图的注意事项

   在画水平放置的平面图形的直观图时,选取适当的直角坐标系是关键,一般要使平面多边形尽可能多的顶点落在坐标轴上,以便于画点.原图中不平行于坐标轴的线段可以通过作平行于坐标轴的线段来作出其对应线段. 

跟踪训练一

1.画边长为1 cm的正三角形的水平放置的直观图.

【答案】见解析

【解析】(1)如图所示,以BC边所在直线为x轴,以BC边上的高线AO所在直线为y轴,再画对应的x轴与y轴,两轴相交于点O,使xOy45°.

 

(3)擦去坐标轴得直观图ABC′.

题型二  几何体的直观图画法

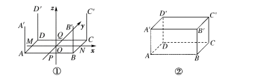
例2 用斜二测画法画长、宽、高分别是3 cm、2 cm、1.5 cm的长方体ABCD-A′B′C′D′的直观图.

 

 

【答案】见解析

【解析】(1)画轴.如图①所示,画x轴、y轴、z轴,三轴相交于点O,使xOy45°xOz90°.

 

 

(2)画底面.以点O为中点,在x轴上取线段MN,使MN3cm;在y轴上取线段PQ,使PQ1cm.分别过点M和点Ny轴的平行线,过点PQx轴的平行线,设它们的交点分别为ABCD,四边形ABCD就是长方体的底面ABCD.

(3)画侧棱,过ABCD各点分别作z轴的平行线,并在这些平行线上分别截取1.5 cm长的线段AA′、BB′、CC′、DD′.

(4)成图.顺次连接A′、B′、C′、D′,并加以整理(擦掉辅助线,将被遮挡的线改为虚线),就得到长方体的直观图(如图).

3  已知圆柱底面半径为1cm,侧面母线长为3cm的圆柱的直观图.

【答案】见解析

【解析】(1)画轴.如图所示,画x轴、z轴,使∠xOz=90°.

(2)画下底面.在x轴上取A,B两点,使OA=OB= 1 cm.选择椭圆模板中适当的椭圆过A,B两点,使它为圆柱的下底面.

(3)画上底面.在Oz上截取点O′,使OO′=3cm,过O′作Ox的平行线O′x′,类似圆柱下底面的作法作出圆柱的上底面.

(4)成图.连接AA′,BB′,整理得到圆柱的直观图. 

解题技巧: (画空间几何体的直观图的注意事项)

(1)首先在原几何体上建立空间直角坐标系Oxyz,并且把它们画成对应的x′轴与y′轴,两轴交于点O′,且使∠x′O′y′=45°(或135°),它们确定的平面表示水平面,再作z′轴与平面x′O′y′垂直.

(2)作空间图形的直观图时平行于x轴的线段画成平行于x′轴的线段并且长度不变.

(3)平行于y轴的线段画成平行于y′轴的线段,且线段长度画成原来的一半.

(4)平行于z轴的线段画成平行于z′轴的线段并且长度不变.

跟踪训练二

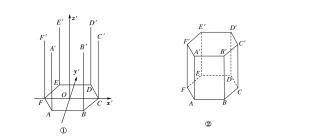
1用斜二测画法画一个底面边长为4 cm,高为6 cm的正六棱柱(底面为正六边形,侧面为矩形的棱柱)的直观图.

【答案】见解析

【解析】(1)画轴:画x轴、y轴、z轴,记坐标原点为O,如图①所示.

(2)画底面:按x轴、y轴画边长为4 cm的正六边形的直观图ABCDEF.

 

 

(3)画侧棱:过ABCDEF各点分别作z轴的平行线,并在这些平行线上截取AABBCCDDEEFF,使它们都等于6 cm.

(4)成图:顺次连接ABCDEF,并加以整理(去掉辅助线,并将被遮住的部分改为虚线),就得到正六棱柱的直观图,如图②所示.

2.一个几何体,它的下面是一个圆柱,上面是一个圆锥,并且圆锥的底面与圆柱的上底面重合,圆柱的底面直径为3 cm,高为4 cm,圆锥的高为3 cm,画出此几何体的直观图.

 

 

 

【答案】见解析

【解析】(1)画轴.如图1所示,画x轴、z轴,使∠xOz=90°.

(2)画圆柱的两底面.在x轴上取A,B两点,使AB的长度等于3 cm,且OA=OB.选择椭圆模板中适当的椭圆过A,B两点,使它为圆柱的下底面.在Oz上截取点O′,使OO′=4cm,过O′作Ox的平行线O′x′,类似圆柱下底面的作法作出圆柱的上底面.

(3)画圆锥的顶点.在Oz上截取点P,使PO′等于圆锥的高3 cm.

(4)成图.连接A′A,B′B,PA′,PB′,整理得到此几何体的直观图,如图2所示.

 

 

题型三  与直观图还原有关的计算问题

4如图所示,水平放置的一个平面图形的直观图是边长为1 cm的正方形OABC,则原图形的周长是______ cm.

 

【答案】  8

【解析】将直观图还原为原图形,如图所示,可知原图形为平行四边形,且AOBO. OAOA′=1 cmOB2OB′=2 cm,所以AB==3 cm.

故原图形的周长为2×(13)8(cm) 

解题技巧(直观图还原注意事项

    由于斜二测画法中平行于x轴的线段的长度在直观图中长度不变,而平行于y轴的线段在直观图中长度要减半,同时要倾斜45°,因此平面多边形的直观图中的计算需注意两点.

(1)直观图中任何一点距x′轴的距离都为原图形中相应点距x轴距离的sin45°=倍.

(2)S直观图S原图.

由直观图计算原图形中的量时,注意上述两个结论的转换.

 

 

 

跟踪训练三

1已知ABC是正三角形,且它的边长为a,那么ABC的平面直观图ABC的面积为()

【答案】D.


五、课堂小结

学生总结本节课所学主要知识及解题技巧

六、板书设计 

 



七、作业

课本109、111练习,111页习题8.2.

 教学反思

通过本节课感知,在引导学生进行技巧归纳时,教师不要着急告知学生.学生初始的回答可能不完善,甚至有错误的见解.教师应该对于正确的及时给与肯定和鼓励.通过教师的鼓励,能大幅度地调动其他学生的积极性.这样其他学生就能自主地给与修正补充.整节课地效果事半功倍. 


高中生学习推荐:
高中语文(微课+课件+教案+考点)汇总
高中英语(微课+课件+教案+考点)汇总
高中化学(微课+课件+教案+考点)汇总
高中物理(微课+课件+教案+考点)汇总
高中数学(微课+课件+教案+练习题)汇总
高中生物(微课+课件+教案+练习题)汇总
高中历史(必修+选修)微课精讲+考点汇总
高中政治(必修+选修)微课精讲+考点汇总

高中地理(必修+选修)微课精讲+考点汇总


图文来自网络,版权归原作者,如有不妥,告知即删

点击阅读原文下载全册PPT课件动画教案习题整套资料

→→中学生辅导答疑 点这里

1→ 统编教材配套课外阅读书籍

2→ 难懂的数学概念一眼看明白