<
高中数学《1.1 椭圆及其标准方程》微课精讲+知识点+教案课件+习题-一点通教学网
我的
高中数学《1.1 椭圆及其标准方程》微课精讲+知识点+教案课件+习题

语文

数学

英语

物理

化学

生物

史地

政治

道德与法治

美术

音乐

科学全部课程 ↓

知识点:

1. 定义:(其中P为椭圆上一点,焦点)

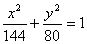
2. 椭圆的标准方程:

3. 椭圆的性质

1

2轴为椭圆对称轴,原点为对称中心

3)顶点()(

4)离心率


视频教学:



练习:

1.(多选题)已知在平面直角坐标系中,点A(-3,0),B(3,0),点P为一动点,且|PA|+|PB|=2a(a≥0),给出下列说法中正确的说法是   (  )

A.当a=2时,点P的轨迹不存在

B.当a=4时,点P的轨迹是椭圆,且焦距为3

C.当a=4时,点P的轨迹是椭圆,且焦距为6

D.当a=3时,点P的轨迹是以AB为直径的圆

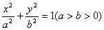
2.已知椭圆过点P和点Q,则此椭圆的标准方程是   (  )

A.+x2=1         B.+y2=1或x2+=1

C.+y2=1         D.以上都不对

3.若曲线ax2+by2=1为焦点在x轴上的椭圆,则实数a,b满足   (  )

A.a2>b2         B.<< span="">

C.0<a<b< span="">         D.0</a<b<>

4.椭圆5x2+ky2=5的一个焦点是(0,2),那么k=   (  )

A.-1      B.1      C.      D.-

二、填空题(每小题5分,共10分)

5.椭圆x2+ky2=1的焦距为,则k=    

6.已知椭圆中心在坐标原点,焦点在x轴上,椭圆与x轴的一个交点到两焦点的距离分别为3和1,则椭圆的标准方程为     


1、求适合下列条件的标准方程

1)两个焦点坐标分别是(0),(30)椭圆经过点(50

2)椭圆两焦点间的距离为16,且椭圆上某一点到两焦点的距离分别等于915,求椭圆的标准方程。

3)已知椭圆的中心在原点,焦点在坐标轴上,且椭圆经过点,求椭圆的方程。

解析:1)∵ 椭圆的焦点在轴上    设它的标准方程为

    

     所求椭圆的方程为

2)由题意:   

又焦点在轴或轴上    

3)∵ 椭圆的中心在原点,焦点在坐标轴上

 可设椭圆的方程为

 椭圆过       

 方程为


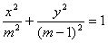
2、方程表示焦点在轴上的椭圆,求实数的取值范围。

解析:       

 

3、方程表示何种曲线?

解析:1时,是平行于轴的两条平行直线

2时,,方程,表示焦点在轴上的椭圆。

3时,表示圆。

4时,表示焦点在轴上的椭圆

5时,表示平行于轴的两条平行直线

 

4、为两个顶点坐标分别是B06)和C0),另两边ABAC的斜率的乘积是,求顶点A的轨迹方程。

解析:设顶点A的坐标为(   由题意得

 顶点A的轨迹方程为


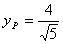
5、已知椭圆),短轴的一个端点与两焦点连线构成一个正三角形且焦点到椭圆上的点的最短距离为,求此椭圆的方程。

解析:P为椭圆上任一点,两个焦点为其中短轴的一个端点为B

 为正三角形       

 焦点到椭圆上的点的最短距离为

   

代入得      

 

 

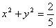
6、焦点分别为(0)和(0)的椭圆截直线所得椭圆的弦的中点的横坐标为,求此椭圆方程。

解析:   1

      

        2

由(1)(2):    

 

7、P是椭圆上的一点,F1F2是椭圆的两个焦点,连结

1的最小值是多少?

2)当为钝角时,点P的横坐标取值范围是什么?

解析:1

2

         

 

 

8、已知椭圆的焦点是P为椭圆上一点,且的等差中项。

1)求椭圆的方程

2)若点P在第三象限,且,求

解析:1)由题设   

        

2)设,则

由正弦定理得:

 (等比定理)

     

      

 


课件:

                                                   

                                            


教案:

一、教学内容分析:

       本节课的主要内容是研究椭圆的定义及其标准方程,属于概念性知识。

从知识上,本节是在必修2直线与圆的方程的基础上,对曲线与方程概念的进一步实际应用,同时也是研究椭圆几何性质的基础;

从方法上,本节内容的学习为进一步研究双曲线、抛物线提供了研究方法与理论基础。

在研究椭圆定义与方程的过程中,渗透数学抽象、数学运算、直观想象、逻辑推理的数学核心素养。

因此,本节内容起到承上启下的重要作用,是本章内容的基础。



二、学情分析:

在本节之前,学生已经学习过直线与圆的方程、曲线与方程的概念,对解析几何有初步认识,能用坐标法研究几何图形。学生对椭圆概念的形成及精准的数学语言描述存在一定困难。而在推导椭圆标准方程时会遇到两个困难:一是建立合适的坐标系使椭圆方程最简单;二是化简方程。而学生已有的知识与能力不能完全胜任,需要教师作适当的引导。



三、教学目标


【知识与技能】

1、掌握椭圆的定义,能用数学语言准确描述椭圆的概念;

2、能选择恰当的坐标系,推导出椭圆的标准方程;

3、理解椭圆的标准方程中的几何意义。

【过程与方法】

1、通过研究旦德林双球模型发现椭圆的几何性质,培养数学抽象的核心素养;

2、利用椭圆的几何性质提炼出椭圆的定义,培养直观想象的核心素养,体会数形结合的数学思想;

3、通过推导椭圆的标准方程,培养数学运算的核心素养,掌握解析几何的研究方法。

【情感、态度和价值观】

1、通过发现生活中的椭圆,体会数学与生活的紧密相连,感受到数学的有用;

2、通过利用旦德林双球模型探究椭圆的定义,激发学生学习数学的积极性,培养学生的学习兴趣与创新意识;

3、通过推导椭圆的标准方程,感受算法优化的重要性,从椭圆图形的对称性、方程的简洁性体会数学的美与简洁。






四、教学重难点:


【重点】椭圆的定义及其标准方程 

【难点】从旦德林双球模型发现椭圆的几何性质从而得到椭圆的定义,能建立恰当的坐标系推导出椭圆的标准方程。



五、教法学法:


1、几何画板+数学道具辅助教学   


2、学生自主探究+合作学习



六、教学活动过程:



七、教学反思:

   

根据本节课的重难点,结合学情分析,我将从以下两部分对本节课进行教学效果评价:

    1.理解椭圆的定义

历史上最初对椭圆的认识是从圆柱、圆锥的斜截面轮廓线开始的,而我的教学设计也是以此为起点。我以“球在阳光下的影子”为情境引入椭圆,也以此模型作为起点探究椭圆的定义。借助旦德林双球模型可以让学生发现椭圆的几何性质——椭圆上任一点到两定点距离之和为定值,从而通过对细节完善得到椭圆的定义。通过这个方式得到的椭圆定义符合知识的生成规律,也让定义来得更自然,能帮助学生加深对椭圆本身的理解。此外,在这个过程中,让学生经历直观感受→几何论证→提炼性质→完善概念的过程,培养学生直观想象、逻辑推理、数学抽象的数学核心素养。

    2.理解椭圆的标准方程的建立

     任何一种建系方式都可以求出对应的椭圆方程,只是呈现的结果简繁程度不一。一方面我给予学生充分的空间去尝试、比较、分析,另一方面我通过类比让学生意识到可以利用图形的对称性建系,从而使得方程看起来也更为对称与简洁。相比老师直接给定坐标系,这样的方式更能充分调动学生的积极性,也能在教学过程中培养学生的数学思维。


一、教材分析

解析几何是数学一个重要的分支,它沟通了数学中数与形、代数与几何等最基本对象之间的联系本节课是《普通高中课程标准实验教科书·数学》(人民教育出版社,课程教材研究所和中学数学课程教材研究开发中心编著)选修21第二章第一节《椭圆及其标准方程》第一课时在选修21第二章,教材利用三种圆锥曲线进一步深化如何利用代数方法研究几何问题由于教材以椭圆为重点说明了求方程、利用方程讨论几何性质的一般方法,然后在双曲线、抛物线的教学中应用和巩固,因此“椭圆及其标准方程”起到了承上启下的重要作用本节内容蕴含了许多重要的数学思想方法,如:数形结合思想、化归思想等因此,教学时应重视体现数学的思想方法及价值

 

二、学情分析

这节内容是继学生学习了直线和圆的方程,对曲线和方程的概念以及用坐标法研究几何问题的方法有了一些了解和认识,基本能运用求曲线方程的一般方法求曲线方程的基础上,进一步学习用坐标法研究曲线的第一课.具有巩固旧知、熟练方法、拓展新知的承上启下作用,可为研究双曲线、抛物线提供基本模式和理论基础,是发展学生自主学习能力,培养创新能力的好素材.

三、教学目标

1.知识与技能目标:

①理解椭圆的定义;

②理解椭圆的标准方程的推导,在化简椭圆方程的过程中提高学生的运算能力

掌握椭圆的标准方程;会根据条件求椭圆的标准方程,会根据椭圆的标准方程求焦点坐标.

2.过程与方法目标:

①经历椭圆概念的产生过程,学习从具体实例中提炼数学概念的方法,由形象到抽象,从具体到一般,掌握数学概念的数学本质,提高学生的归纳概括能力;

②巩固用坐标化的方法求动点轨迹方程;

③对学生进行数学思想方法的渗透,培养学生具有利用数学思想方法分析和解决问题的意识

3.情感态度价值观目标:

①充分发挥学生在学习中的主体地位,引导学生活动、观察、思考、合作、探究、归纳、交流、反思,促进形成研究氛围和合作意识;

②重视知识的形成过程教学,让学生知其然并知其所以然,通过学习新知识体会到前人探索的艰辛过程与创新的乐趣;

③通过对椭圆定义的严密化,培养学生形成扎实严谨的科学作风;

④通过经历椭圆方程的化简,增强学生战胜困难的意志品质并体会数学的简洁美、对称美;

⑤利用椭圆知识解决实际问题,使学生感受到数学的广泛应用性和知识的力量,增强学习数学的兴趣和信心

四、重点与难点

重点:椭圆的定义、椭圆的标准方程、坐标化的基本思想

难点:椭圆标准方程的推导与化简

五、教法分析

本节课的设计力图体现“教师为主导,学生为主体”的教学设想在教学过程中始终本着“教师是课堂教学的组织者、引导者、合作者”的原则,让学生通过实验、观察、分析、推理、交流、合作、小结、反思等过程建构新知识,并初步学会从数学角度去观察事物和思考问题,激发学生学习数学的热情和兴趣 

六、教学过程


 

高中生学习推荐:
高中语文(微课+课件+教案+考点)汇总
高中英语(微课+课件+教案+考点)汇总
高中化学(微课+课件+教案+考点)汇总
高中物理(微课+课件+教案+考点)汇总
高中数学(微课+课件+教案+练习题)汇总
高中生物(微课+课件+教案+练习题)汇总
高中历史(必修+选修)微课精讲+考点汇总
高中政治(必修+选修)微课精讲+考点汇总

高中地理(必修+选修)微课精讲+考点汇总


图文来自网络,版权归原作者,如有不妥,告知即删

点击阅读原文下载全册PPT课件动画教案习题整套资料

→→中学生辅导答疑 点这里

1→ 统编教材配套课外阅读书籍

2→ 难懂的数学概念一眼看明白