<
高中数学《4.1 直线与圆锥曲线的交点》微课精讲+知识点+教案课件+习题-一点通教学网
我的
高中数学《4.1 直线与圆锥曲线的交点》微课精讲+知识点+教案课件+习题

语文

数学

英语

物理

化学

生物

史地

政治

道德与法治

美术

音乐

科学全部课程 ↓

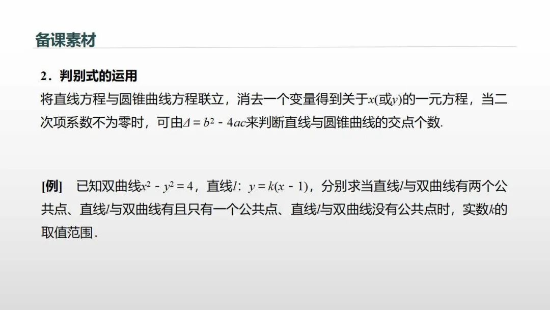
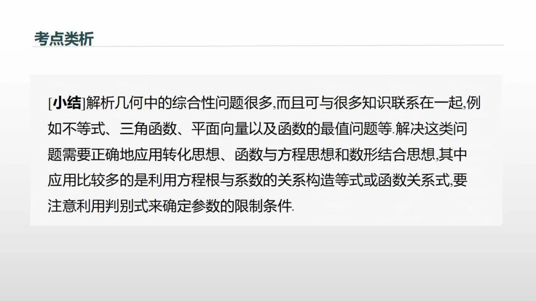
知识点:

1、直线与椭圆的位置关系。

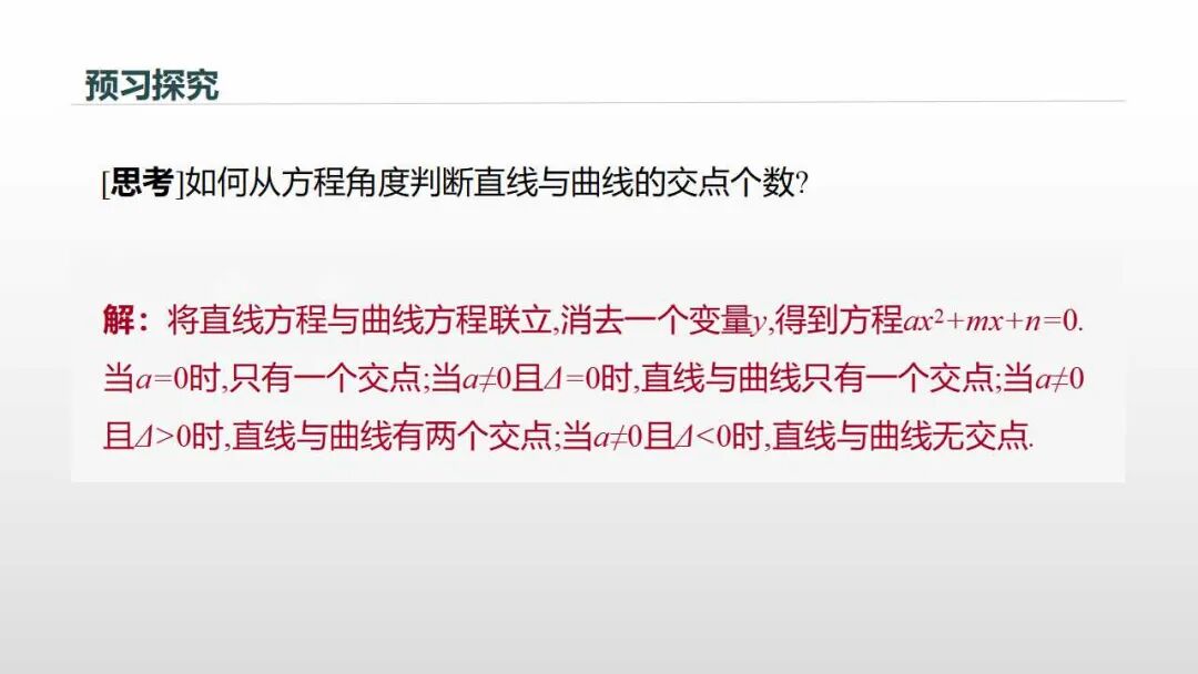
设直线L方程是:,椭圆方程是,则由消去y *

设方程(*)的判别式

(i)方程(*)有两不等实根直线L与椭圆相交直线与椭圆有两个不同的公共点。

(ii)方程(*)有两个相等的实根直线L与椭圆相切直线与椭圆只有一个公共点。

(iii)方程(*)无实根直线L与椭圆相离直线与椭圆无公共点。


2、直线与双曲线的位置关系

设直线L,双曲线方程:

当直线L与双曲线的渐近线平行时:直线L与双曲线相交有一个公共点或没有公共点。

当直线L与双曲线的渐近线不平行时:

消去y得关于x的方程:      *

方程(*)有两不等实根直线L与双曲线相交直线与双曲线有两个不同的公共点。

方程(*)有两个相等的实根直线L与双曲线相切直线与双曲线只有一个公共点。

方程(*)无实根直线L与双曲线相离直线与双曲线无公共点。

说明:当直线L与双曲线只有一个公共点时,直线L与双曲线可能相交,也可能相切。


3、设直线L,设抛物线方程为

若直线L与抛物线的对称轴平行或重合时,直线L与抛物线相交有一个交点

若直线L与抛物线的对称轴不平行或不重合时:

消去y得: *

方程(*)有两不等实根直线L与抛物线相交直线与抛物线有两个不同的公共点。

方程(*)有两个相等的实根直线L与抛物线相切直线与抛物线只有一个公共点。

方程(*)无实根直线L与抛物线相离直线与抛物线无公共点。


视频教学:


练习:

1.双曲线Cx2a2y2b2=1(a>0,b>0)的右焦点为F,直线l过焦点F,且斜率为k,则直线l与双曲线C的左、右两支都相交的充要条件是(  )

A.k>-ba         B.kba    C.kbak<-ba                D.bakba


2.若直线mxny=4与⊙Ox2y2=4没有交点,则过点P(mn)的直线与椭圆x29y24=1的交点个数是(  )

A.至多为1                B2                C.1                D.0


3.斜率为1的直线l与椭圆x24y2=1相交于AB两点,则|AB|的最大值为(  )

A.2                       B.5)5                C.10)5                D.10)5


4.设双曲线x2a2y2b2=1(a>0,b>0)的一条渐近线与抛物线yx2+1只有一个公共点,则双曲线的离心率为(  )

A.54                B.5               C.5)2               D.5


5.已知AB为抛物线Cy2=4x上的两个不同的点,F为抛物线C的焦点,若=-4,则直线AB的斜率为(  )

A.±23                B.±32                C.±34                D.±43


6.过点(0,2)与抛物线y2=8x只有一个公共点的直线有( C )

A.1条  B.2条  C.3条  D.无数条


7.直线y=kx-k+1与椭圆x29y24=1的位置关系为( A )

A.相交  B.相切 C.相离  D.不确定


8.已知双曲线x2a2y2b2=1(a>0,b>0)的右焦点为F,若过点F且倾斜角为60°的直线与双曲线的右支有两个交点,则此双曲线离心率的取值范围是( A )

A.(1,2)  B.(1,2]  C.[2,+∞)  D.(2,+∞)


9.过抛物线y2=4x的焦点F的直线交抛物线于A,B两点,点O是原点,若|AF|=3,则△AOB的面积为( C )

A.2)2  B.2  C.2)2  D.22


10.已知对kR,直线ykx-1=0与椭圆x25y2m=1恒有公共点,则实数m的取值范围是(  )

A.(0, 1)     B.(0,5)   C.[1,5)(5,+)  D.[1,5)


课件:


教案:

一、教材分析及学生情况分析

本节课是平面解析几何的核心容之一。在此之前,学生已学习了直线的基本知识,圆锥曲线的定义、标准方程和简单的几何性质,直线与圆的位置关系及判定,这为本节课的学习起着铺垫作用。本节容是《直线与圆锥曲线的位置关系》的第一节课,着重是教会学生如何判断直线与椭圆的位置关系,体会运用方程思想、数形结合、分类讨论、类比归纳等数学思想方法,优化学生的解题思维,提高学生解题能力。这为后面解决直线与圆锥曲线的综合问题打下良好的基础。所以是承上启下的一节课。这节课还是培养学生数学能力的良好题材,所以说是解析几何的核心容之一。

数学思想方法分析:作为一名数学老师,不仅要传授给学生数学知识,更重要的是传授给学生数学思想、数学意识。因此本节课在教学中力图让学生动手操作,自主探究、发现共性、类比归纳、总结解题规律。

学生情况分析: 对于直线和圆,学生已经非常熟悉,并且知道直线与圆有三种位置关系:相离,相切和相交,会从代数、几何两个方面进行判断。本节课,学生将类比挖掘直线与椭圆圆的位置关系,学会从不同角度分析思考问题,为后续学习打下基础。本班为理科班,学生整体思维能力较强,勤于动脑,喜欢想问题,但不愿动手实践,特别是进行相关计算,另外学生在探究问题的能力,合作交流的意识及反思总结等方面有待加强。

二、教学目标

根据上述教材结构与容分析,考虑到学生已有的认知心理特征和实际,制定如下教学目标

知识与技能:①理解直线与椭圆的位置关系;

②会进行位置关系的判断,计算弦长。

过程与方法:根据本节课的容和学生的实际水平,通过回忆画图让学生理解直线与椭圆的位置关系;观察类比直线与圆的位置关系的判定,归纳总结出直线与椭圆的位置关系的判定,掌握代数方法,学会解决相关的问题。

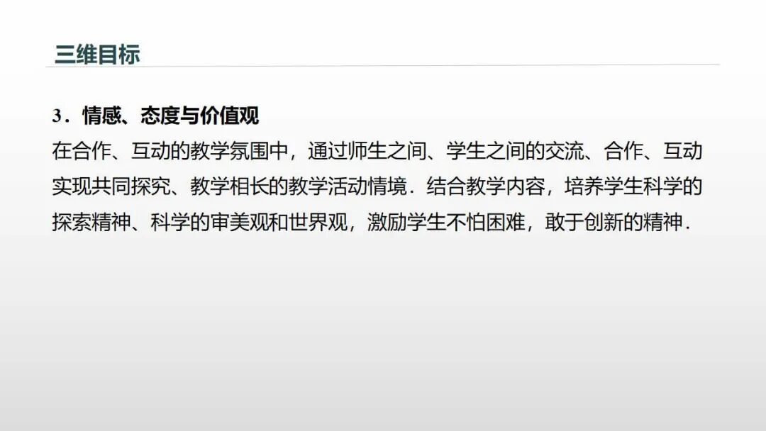
情感、态度、价值观:使得学生在学习知识的同时,培养学生自主探究和数形结合解决问题的能力。

三、       教学重点、难点、关键

本着课程标准,在吃透教材基础上,我觉得这节课是解决直线与圆锥曲线综合问题的基础。对解决综合问题,我觉得只有先定性分析画出图形并观察图形,以形助数,才能定量分析解决综合问题。如:解决圆锥曲线中常见的弦长问题、中点问题、对称问题等。

所以我制定的教学重点:理解直线与椭圆的位置关系,会判定及应用

            教学难点:应用代数方法进行判定,相关计算的准确性,理解用方程思想解决直线与圆锥曲线的位置关系

               :感悟方程组的解的个数等于直线与椭圆公共点的个数。计算准确。

为了讲清重点、难点,使学生能达到本节设定的教学目标,我是这样设计教法和学法的。

四、教法

数学是一门培养人的思维,发展人的思维的重要学科,因此,在教学中,不仅要使学生“知其然”,而且要使学生“知其所以然”。为了体现以学生发展为本,遵循学生的认知规律,体现由特殊到一般,采用循序渐进的启发式教学原则。我进行了这样的教法设计:问题引导,问题解决,由学生通过知识迁移,类比探究直线与椭圆位置关系的判断,再由教师引导,自然找出直线与椭圆的位置关系判断方法,激发学生的学习兴趣。在解题过程中体会解决的数学方法。

五、学法

我们常说:“现代的文盲不是不识字的人,而是没有掌握学习方法的人”,因而在教学中要特别重视学法的指导。课程改革的目标之一是“改变课程实施过于强调接受学习、死记硬背、机械训练的现状,倡导学生主动参与、乐于探究、勤于动手,培养学生搜集和处理信息的能力,获得新知识的能力、分析和解决问题的能力以及交流与合作的能力”。数学作为基础教育的核心课程之一,转变学生数学学习方式,不仅有利于提高学生的数学素养,而且有利于促进学生整体学习方式的转变。我以类比归纳理论为指导,采用着重于引导学生探索研究的问题教学方法,结合师生共同讨论、归纳。在课堂结构上,我根据学生的认知水平,我设计了:(1)提出问题——引入课题(2思考交流结论形成:3)理解应用——巩固方法(4)小结归纳——提高认识,四个层次的学法,它们环环相扣,层层深入,从而顺利完成教学目标。接下来,我再具体谈谈这堂课的教学过程:

六、教学程序及设想

教学过程 实录:

一、提出问题引入新课:

师:我们学习过直线与圆的位置关系及判定,请你回忆相关知识。

学生回答:直线与圆有三种位置关系分别是相离(没有公共点)、相切(一个公共点)、相交(两个公共点)。判定方法有两种:代数法、几何法。

(教师在学生回答的同时在黑板上画出相应图形,并补充纠正。)

师:前面我们学习了圆锥曲线,其中椭圆是最基础的,那么直线与椭圆又有什么样的位置关系呢?

有学生立即回答:和圆一样,相离,相切,相交;教师立即追问:如何定义呢?

学生回答:类似直线与圆的位置关系的定义。

教师动手画图,并提出问题:如何来判定直线与椭圆的位置关系呢?

设计意图:由已有的知识类比迁移到新知识。

师:今天我们就来研究这个问题

二、思考交流结论形成:

师:通过画图我们看到,直线与椭圆的位置关系也可以归纳为相离,相切和相交,请你类比直线和圆的相离、相切、相交的定义来对直线和椭圆相离,相切和相交进行定义。

学生交流,自由发言,教师适时引导,得出结论。

直线与椭圆没有公共点直线与椭圆相离;直线与椭圆有一个公共点直线和椭圆相切;直线与椭圆有两个公共点直线与椭圆相交。

师:通过公共点的个数可以判断直线和椭圆的位置关系,如何确定公共点的个数呢?你有什么办法呢? 请大家完成学案的第一题。

1、判断直线与椭圆的位置关系。

学生完成练习,教师巡视,根据学生的解题情况引入代数方法。在巡视过程中,大部分学生采用的是

代数的方法,及个别的学生画出了图像,但第三条直线与椭圆的位置关系学生画图的很少,但利用代数方法研究的同学也没有得到结论。此时,教师及时进行了计算上辅导。

师:请你说说如何利用代数方法来进行直线和椭圆的位置关系的判断?

学生:直线与椭圆的位置关系的研究方法可通过代数方法即解方程组的办法来研究.因为方程组解的个数与交点的个数是一样的.

联立方程组,消元,得到一个一元二次方程,则

,方程有两个不等的实数根有两个公共点相交;

,方程有两个相等的实数根有一个公共点相切;

       ,方程没有实数根没有公共点相离。

师:方法归纳的很好,但是还要求同学们在解决方程问题时要准确计算。

设计意图:以旧带新,学生易于理解。

三、理解应用:

师:请同学们看学案的练习,完成第二个题。

2、已知直线,椭圆,问为何值时,直线与椭圆:(1)有两个不同的公共点;(2)有一个公共点;(3)没有公共点

学生甲:方程联立,让判别式的值分别大于0,等于0,小于0,然后解不等式和方程即可得解。

师:有没有同学用其他的方法求得?

学生乙:可不可以用画图的方法,椭圆方程是给定的,所以是定的,直线的斜率是2,纵截距是M,所以是一族平行线,找到交点,结论不就有了吗.

教师对两位同学及时表扬,并适时进行方法上的总结。在巡视过程中,对计算上的问题再次进行辅导。让解题比较快的学生XX在黑板上进行板演。

设计意图:对知识进行简单应用。

师:下面我们一起来完成第3题和第4题。

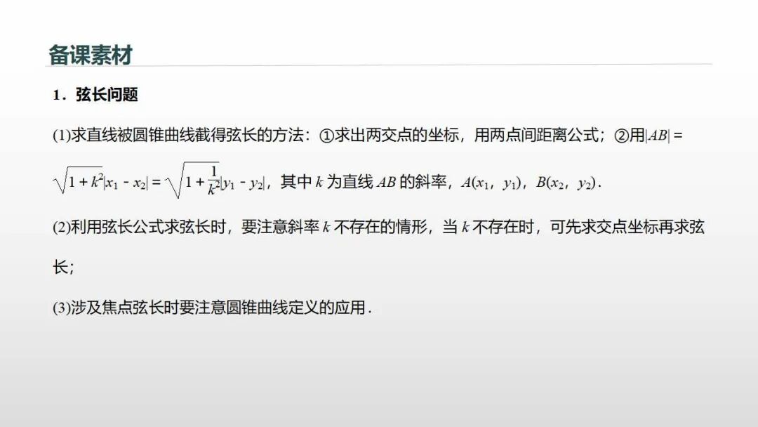
3、已知斜率为2的直线经过椭圆的右焦点,与椭圆交于两点,求的长。

师:本题的解决需要什么条件?如何由题目所给的条件去求得?前面的学习中遇到过类似的问题吗?当时是怎么解决的,方法能不能拿来一用?

学生:前面学习过两点间的距离公式,所以只要有A、B两点的坐标,代入公式就行了。通过题目条件可以求出直线AB的方程,再把两个方程联立就能求交点坐标了。

这时,课代表说话了:还要解方程太麻烦了,有没有简单点的方法,不求根行吗?

师:不错,那你就要好好想想啊!

课代表:想不出来。此时教师及时拉过学生的注意力,把问题进行讲解。

师:那我来说说,。。。。。。

由此题一般化,得到弦长公式。

。①

(师:当直线与椭圆相交时,求弦长时,联立直线方程和椭圆方程,利用韦达定理,就可以直接利用公式①求得弦长。那如果知道弦长和椭圆的方程,你能否求得直线方程呢?公式①是否适用于直线与其他圆锥曲线的弦长计算呢?请同学们课下思考。)

设计意图:由特殊到一般,让学生体会韦达定理的应用及解析几何中“设而不求,整体代入”的解题思路。

(机动)4、已知是直线被椭圆所截得的线段的中点,求直线的方程。

师:要求直线方程,有什么条件,还需要什么条件,如何来得到这个条件?你有什么想法?给了中点坐标,如何用这个条件呢?

学生在教师的引导下,逐步得出求斜率的思路,并进行实施。

师:除了应用韦达定理求斜率外,老师给你们介绍另一种方法来完成本题的求解。(教师板演点差法的解题过程。)

设计意图:对方法进行直观展示,方便学生理解。

四、课堂小结:由学生总结,然后教师补充。重视对方法的总结和应用。

设计意图:由学生总结本节课所学习的主要容,以及收获,通过数学思想方法的小结,使学生更深刻地了解数学思想方法在解题中的地位和作用,并且逐渐培养学生的良好个性品质。

四、布置作业:

板书:         直线与椭圆的位置关系

一、直线与椭圆的位置关系              2、             3、

二、直线与椭圆位置关系判定方法

三、直线与椭圆相交:弦长公式



七、教学反思:

在新课程教育理念中,学生活动是第一位的,强调要在“做数学中学数学”,由于主体自身的智力参与,特别是主体高水平的智力参与,使外部的活动过程化为主体部的心理活动过程。并从中产生出主体的个人体验。充分体现了新课标的精神,以学生为主体,吸引学生动手实践、自主探索、合作交流。学生以积极主动、勇于探索的学习方式体验了双曲线的形成过程,学生对所学容会理解更深更记忆更牢。

用问题做引导,让学生在已学知识的基础上学习新的知识,体现了新课程要求的螺旋式上升的学习方式,并借助熟悉的事物逐步迁移到新事物的认知规律,由学生自主完成相关知识的学习也体现了学生为主体的新课程理念。

学生在认同与体验中建构知识技能的传授和能力的培养主要依靠解题训练,对此,波利亚揭示:“中学数学首要任务就是加强解题训练,掌握数学就是意味着善于解题”。对于问题设计和例题设计,运用类比归纳、特殊一般的认知规律、逐步递进的方式,意在既巩固所学知识,又给学有余力的学生以更大的发展空间,体现了因材施教的原则,整个教学环节都很完整。

在授课过程中,教师始终把握解析几何的核心-用代数的方法研究几何问题,能画图的地方一定把图像画出来,需要计算的地方也按要求进行计算,随时体现数与形的紧密联系。重视数学方法的教学渗透。

设计不足:设计之初,就想让学生多动手,所以没有使用多媒体,但实践证明确实耽误了一些时间,第4题(点差法)没有来得及讲。如果使用多媒体,可以在前面复习引入上节省一些时间。这是设计的一个不足。另外,高估了学生的计算能力也是一个不足之处,有些时间都花在指导学生计算上了。这也给教师提了个醒在今后的教学过程中要随时重视对学生的计算能力的培养和训练,为后面解决解析几何综合问题打下良好的基础,否则就会形成学生会想不会写,有思路却写不对从而得不到分的不良局面了。


高中生学习推荐:
高中语文(微课+课件+教案+考点)汇总
高中英语(微课+课件+教案+考点)汇总
高中化学(微课+课件+教案+考点)汇总
高中物理(微课+课件+教案+考点)汇总
高中数学(微课+课件+教案+练习题)汇总
高中生物(微课+课件+教案+练习题)汇总
高中历史(必修+选修)微课精讲+考点汇总
高中政治(必修+选修)微课精讲+考点汇总

高中地理(必修+选修)微课精讲+考点汇总


图文来自网络,版权归原作者,如有不妥,告知即删

点击阅读原文下载全册PPT课件动画教案习题整套资料

→→中学生辅导答疑 点这里

1→ 统编教材配套课外阅读书籍

2→ 难懂的数学概念一眼看明白