<
高中数学《4.2 直线与圆锥曲线的综合问题》微课精讲+知识点+教案课件+习题-一点通教学网
我的
高中数学《4.2 直线与圆锥曲线的综合问题》微课精讲+知识点+教案课件+习题

语文

数学

英语

物理

化学

生物

史地

政治

道德与法治

美术

音乐

科学全部课程 ↓

知识点:

在解决直线与圆锥曲线的综合问题过程牵涉到大量的计算,这也对考生的计算能力提出更高要求。因此,今天老师就带大家一起学习直线与圆锥曲线的综合问题,分享一些解题策略。

  

首先,我们要知道直线与圆锥曲线的位置关系,主要涉及弦长、弦中点、对称、参数的取值范围、求曲线方程等问题.解题中要充分重视根与系数的关系和判别式的应用。

  

其次当直线与圆锥曲线相交时:涉及弦长问题,常用“根与系数的关系”设而不求计算弦长(即应用弦长公式);涉及弦的中点问题,常用“点差法”设而不求,将弦所在直线的斜率、弦的中点坐标联系起来,相互转化.同时还应充分挖掘题目中的隐含条件,寻找量与量间的关系灵活转化,往往就能事半功倍.解题的主要规律可以概括为“联立方程求交点,韦达定理求弦长,根的分布找范围,曲线定义不能忘”。


研究直线与圆锥曲线的位置关系时,一般转化为研究其直线方程与圆锥方程组成的方程组解的个数,但对于选择、填空题也可以利用几何条件,用数形结合的方法求解。  

对于判定直线与圆锥曲线的位置关系时,我们通常是将直线方程与曲线方程联立,消去变量y(或x)得关于变量x(或y)的方程:ax2+bx+c=0(或ay2+by+c=0)。

  

若a≠0,可考虑一元二次方程的判别式Δ,有:

  

Δ>0?直线与圆锥曲线相交;

  

Δ=0?直线与圆锥曲线相切;

  

Δ<0?直线与圆锥曲线相离.

  

若a=0且b≠0,则直线与圆锥曲线相交,且有一个交点。


最后大家一定要记住,解决圆锥曲线的最值与范围问题常见的解法有两种:几何法和代数法。

  

1、若题目的条件和结论能明显体现几何特征和意义,则考虑利用图形性质来解决,这就是几何法;

  

2、若题目的条件和结论能体现一种明确的函数关系,则可首先建立起目标函数,再求这个函数的最值,这就是代数法。

  

在利用代数法解决最值与范围问题时要从以下五个方面考虑:

  

1、利用判别式来构造不等关系,从而确定参数的取值范围;

  

2、利用已知参数的范围,求新参数的范围,解这类问题的核心是在两个参数之间建立等量关系;

  

3、利用隐含或已知的不等关系建立不等式,从而求出参数的取值范围;

  

4、利用基本不等式求出参数的取值范围;

  

5、利用函数的值域的求法,确定参数的取值范围。


视频教学:


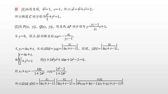
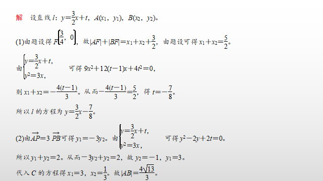
练习:

历年真题解析,2015上海卷理数。

考点:直线与圆锥曲线的综合问题,点到直线的距离公式,直线与圆,圆锥曲线的定义性质与方程。

本题注重考查学生的综合应用能力,方程思想,综合运算能力,是较难的题。


看到题目直线与椭圆相交,又说得到平行四边形的面积S,这里是不是好熟悉呀。心中有点小激动,应该会解吧,先拿出笔和纸画个简图哦。



方法1从向量入手利用三角函数表示面积,由面积的条件建立等量关系,其中涉及的同角平方关系,夹角公式向量的模等知识点都是基本的要求。同学们要培养训练的就是把散点的知识综合运用求解,想对而言可能大多数人还是倾向于解法2的路子。



下面我们一起来看看,下面这个方法是不是更容易想到呢:

由点到直线的距离公式表示出点C到直线l1的距离d,AB的距离等于2倍的OA的距离,同样利用两点间距离公式写出来。这里还可以用直线与椭圆联立方程组求弦长,当然就是光看这个思路就知道计算量肯定是稍大的。所以选择平面几何的知识就可以解决了,而平行四边形的面积就可以用两个△ABC的面积来表示,得证。







要算面积,由第一问的证明可以知道,面积是跟点A,C的坐标有关,具体方法的选用因人而异。可以确定的就是计算难度都不小,其实看着这个一二问的联系,我们大致猜到是可以算出一问中的值,方法1从计算难度和算法相对而言更接地气。


课件:


教案:

一、授课目的与考点分析:

直线与圆锥曲线的位置关系

二、授课内容:

5.直线与圆锥曲线的位置关系

  (1)相交:直线与椭圆相交;

             直线与双曲线相交,但直线与双曲线相交不一定有,当直线

         与双曲线的渐近线平行时,直线与双曲线相交且只有一个交点,故是直线

         与双曲线相交的充分条件,但不是必要条件;

             直线与抛物线相交,但直线与抛物线相交不一定有,当直线

         与抛物线的对称轴平行时,直线与抛物线相交且只有一个交点,故也仅是

         直线与抛物线相交的充分条件,但不是必要条件。

例如 ①直线y―kx―1=0与椭圆恒有公共点,则m的取值范围是_______;

      (答:[15)∪(5+∞)

     ②过双曲线的右焦点直线交双曲线于A、B两点,若│AB︱=4,则这样

        的直线有_____条。                                            (答:3)

  (2)相切:

  (3)相离:

特别提醒

    直线与双曲线、抛物线只有一个公共点时的位置关系有两种情形:相切和相交。如果直线与双曲线的渐近线平行时,直线与双曲线相交,只有一个交点;如果直线与抛物线的轴平行时,直线与抛物线相交,只有一个交点

    ②过抛物线外一点总有三条直线和抛物线有且只有一个公共点:两条切线和一条平行于对称轴的直线。

例如 ①过点作直线与抛物线只有一个公共点,这样的直线有______;

           (答:2

     ②过点(0,2)与双曲线有且仅有一个公共点的直线的斜率的取值范围为    ______ ;                 (答:

     ③过抛物线的焦点作一直线交抛物线于P、Q两点,若线段PF与FQ的长分

       别是,则_______ ;                                (答:1

     ④已知抛物线方程为,若抛物线上一点到轴的距离等于5,则它到抛物线的

       焦点的距离等于____;若该抛物线上的点到焦点的距离是4,则点的坐标为

       _____;                                                 (答:

     ⑤抛物线上的两点A、B到焦点的距离和是5,则线段AB的中点到轴的距离

       为______。                                                    (答:2)

6、焦点三角形(椭圆或双曲线上的一点与两焦点所构成的三角形)

      常见问题:定义和正弦、余弦定理求解。

例如 ①短轴长为,离心率的椭圆的两焦点为,过作直线交椭圆于A、

       B两点,则的周长为________;                            (答:6

     ②设P是等轴双曲线右支上一点,F1、F2是左右焦点,

       |PF1|=6,则该双曲线的方程为        ;                    (答:

     ③椭圆的焦点为F1、F2,点P为椭圆上的动点,当·<0时,点p< span="">

       的横坐标的取值范围是       ;                         (答:

     ④在RtΔABC中,AB=AC=1,如果一个椭圆通过A,B两点,它的一个焦点为C点,另一

       个焦点在AB上,则这个椭圆的离心率为                      (答:())

7、弦长公式:若直线与圆锥曲线相交于两点A、B,且分别为A、B的横坐

   标,则,若分别为A、B的纵坐标,则

例如 ①过抛物线y2=4x的焦点作直线交抛物线于A(x1,y1),B(x2,y2)两点,若x1+x2=6,

       那么|AB|等于_______;                                           (答:8

     ②过抛物线焦点的直线交抛物线于A、B两点,已知|AB|=10,O为坐标原点,

       则ΔABO重心的横坐标为_______。                                 (答:3

8、中点弦问题:遇到中点弦问题常用“韦达定理”或“点差法”求解。

例如 ①如果椭圆弦被点A(4,2)平分,那么这条弦所在的直线方程是     

                                                           ( 答:

     ②已知直线y=-x+1与椭圆相交于A、B两点,且线段AB的中

       点在直线L:x-2y=0上,则此椭圆的离心率为_______;              (答:

     ③试求m的取值范围,使得椭圆上有不同的两点关于直线对称。

        (答

特别提醒

        因为是直线与圆锥曲线相交于两点的必要条件,故在求解有关弦长、对称

    问题时,务必别忘了检验!!!

9.你了解下列结论吗

  (1)双曲线的渐近线方程为

  (2)以为渐近线(即与双曲线共渐近线)的双曲线方程为

      为参数,≠0);

例如 与双曲线有共同的渐近线,且过点的双曲线方程为_____。

                                                           (答:

  (3)中心在原点,坐标轴为对称轴的椭圆、双曲线方程可设为

  (4)椭圆、双曲线的通径(过焦点且垂直于对称轴的弦)为,抛物线的通径为

  (5)通径是所有焦点弦(过焦点的弦)中最短的弦;

  (6)若抛物线的焦点弦为AB,,则

       ①;②

10.动点轨迹方程

  (1)求轨迹方程的步骤:建系、设点、列式、化简、确定点的范围;

  (2)求轨迹方程的常用方法:

      I、直接法:直接利用条件建立之间的关系

      II、待定系数法:已知所求曲线的类型,求曲线方程――先根据条件设出所求曲线

         的方程,再由条件确定其待定系数;

      III、定义法:先根据条件得出动点的轨迹是某种已知曲线,再由曲线的定义直接

          写出动点的轨迹方程;

例如 ①由动点P向圆作两条切线PA、PB,切点分别为A、B,∠APB=600,则动

       点P的轨迹方程为         ;                             (答:

     ②点M与点F(4,0)的距离比它到直线的距离小1,则点M的轨迹方程是___; 

                                                               (答:

     ③一动圆与两圆⊙M:和⊙N:都外切,则动圆圆心的

       轨迹为      ;                                         (答:双曲线的一支)

      IV、代入转移法:动点依赖于另一动点的变化而变化, 并且又在某已知曲线上,则可先用的代数式表示,再将代入已知曲线得要求的轨迹方程;

例如 动点P是抛物线上任一点,定点为,点M分 所成的比为2,

       则M的轨迹方程为__________。                            (答:

      V参数法:当动点坐标之间的关系不易直接找到,也没有相关动点可用时,


       可考虑将均用一中间变量(参数)表示,得参数方程,再消去参数得普通方程)。

特别提醒

      ①如果问题中涉及到平面向量知识,那么应从已知向量的特点出发,考虑选择向量

        的几何形式进行转化,还是选择向量的代数形式进行转化;

      ②曲线与曲线方程、轨迹与轨迹方程是两个不同的概念,寻求轨迹或轨迹方程时应

        注意轨迹上特殊点对轨迹的“完备性与纯粹性”的影响;

      ③在与圆锥曲线相关的综合题中,常借助于“平面几何性质”数形结合(如角平分

        线的双重身份――对称性)。

11、解析几何与向量综合时可能出现的向量内容:

   (1) 给出直线的方向向量,一般地转化为斜率

   (2)求角可以转化为向量的夹角,如求异面直线所成的角,二面角等。

例如 已知,动点的边界及其内部区域上运

       动,又,求最大值。

(解析提示:,显然将C点坐标代入即得最大值。)

   (3)给出,等于已知的中点;

   (4)给出,等于已知的中点三点共线;

   (5)给出以下情形之一:;②存在实数;③若存在实数

        ,等于已知三点共线;

   (6),一般地转化为三点共线或坐标运算;

   (7)给出,等于已知,即是直角,给出,等

       于已知是钝角, 给出,等于已知是锐角;

   (8)给出,等于已知的平分线;

   (9)在平行四边形中,给出,等于已知是菱形;

   (10) 在平行四边形中,给出,等于已知 是矩形;

   (11)中,给出,等于已知的外心(三角形外接

         圆的圆心,三角形的外心是三角形三边垂直平分线的交点);

   (12)中,给出,等于已知的重心(三角形的重

         心是三角形三条中线的交点);

   (13)中,给出,等于已知 的垂心(

         角形的垂心是三角形三条高的交点);

   (14)中,给出等于已知通过

         内心;

   (15)已知点为圆的一条直径;       

(提示:=

      。)

   (16)中,给出,等于已知边的中线。


三、本次课后作业:

      

     圆锥曲线复习题


高中生学习推荐:
高中语文(微课+课件+教案+考点)汇总
高中英语(微课+课件+教案+考点)汇总
高中化学(微课+课件+教案+考点)汇总
高中物理(微课+课件+教案+考点)汇总
高中数学(微课+课件+教案+练习题)汇总
高中生物(微课+课件+教案+练习题)汇总
高中历史(必修+选修)微课精讲+考点汇总
高中政治(必修+选修)微课精讲+考点汇总

高中地理(必修+选修)微课精讲+考点汇总


图文来自网络,版权归原作者,如有不妥,告知即删

点击阅读原文下载全册PPT课件动画教案习题整套资料

→→中学生辅导答疑 点这里

1→ 统编教材配套课外阅读书籍

2→ 难懂的数学概念一眼看明白