<
高中数学《2.2 排列数公式》微课精讲+知识点+教案课件+习题-一点通教学网
我的
高中数学《2.2 排列数公式》微课精讲+知识点+教案课件+习题

语文

数学

英语

物理

化学

生物

史地

政治

道德与法治

美术

音乐

科学全部课程 ↓

知识点:

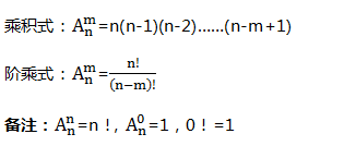
公式:


视频教学:



练习:

1.已知,则(     ).

A.                           

B.                    

C.                    

D.

【分值】5

【答案】C

【考查方向】本题主要考查了排列数公式的计算,属于基础题。

【易错点】考查排列数公式的计算,容易出现粗心出错。

【解题思路】根据已知的式子,然后根据排列数公式求出相应的结果。

【解析】根据题意,由于从100,连续减小到45,共有56个连续自然数相乘,那么可知.所以选择C选项.


2.用数字1、2、3、4、5、6、7、8、9可组成没有重复数字的三位数共有:(     )

A.268个         

B.152个             

C.60个      

D.504个

【分值】5

【答案】D

【考查方向】本题主要考查了排列及简单计算原理,注意考查排列的计算。。

【易错点】这种运算题目一般比较容易,往往会在计算时因失误而失分。

【解题思路】先从中抽取3个再求出其全排列个数。

【解析】用数字1、2、3、4、5、6、7、8、9可组成没有重复数字的三位数,就是求从9个元素中抽取3个的所有排列,故有个.所以选择D选项.


3.湖北某高校大二某班换届选举,从已产生的甲、乙、丙、丁四名候选人中选出三人分别担任书记、组织委员和宣传委员,并且要求乙是上届组织委员不能连任原职,则换届后不同的任职结果有

A.16种              

B.18种              

C.20种                 

D .22种

【分值】5

【答案】B

【考查方向】本题主要考查了分类加法计数原理和排列数公式的应用。

【易错点】本题会在讨论特殊元素的时候遗漏其中的情况。

【解题思路】根据乙入选和不入选分类计数出再相加即可。

【解析】从甲、乙、丙、丁四名候选人中选出三人分别担任书记、组织委员和宣传委员,并且要求乙是上届组织委员不能连任原职,则选法有两种,一是乙入选,其任职有两种方法,其余两职位有种结果,所以有结果;当乙不入选,则由甲丙丁三个人担任,有种结果,所以换届后不同的任职结果有18种结果 ,所以选B选项。


4.湖南电视台“我是歌手”除了主持人之外还有6位歌手,演出顺序有如下要求:歌手甲必须排在第四位、歌手乙不能排在第一位,歌手丙不能排在最后一位,该演出顺序的编排方案共有(    )

A.36种                           

B.42种                    

C.48种                    

D.54种

【分值】5

【答案】B

【考查方向】本题主要考查了排列的应用。

【易错点】本题会在计算时出现失误而导致计算出错。

【解题思路】要注意采用特殊元素优先,特殊位置优先然后分情况求解。

【解析】由于歌手甲必须排在第四位,所以可以不再考虑歌手甲,又因为歌手乙不能排在第一位,歌手丙不能排在最后一位,所以如果歌手乙排在最后一位,则有种排法;如果歌手乙也不排在最后一位,则最后一位还有三个歌手可选,所以有种排法,共有42种排法,所以选B选项。


5.湖北的一所高中要为班上的10名学生和他们的6老师拍照,要求排成一排,6位老师必须站在一起,不同的排法共有(  )

A.种             

B.

C.种             

D.

【分值】5

【答案】A

【考查方向】本题主要考查了排列的应用。

【易错点】本题易出现2位老师相邻而不考虑他们的顺序而导致错误。

【解题思路】用捆绑法先将两位老师放到一起,然后看成5个对象的全排列再用分布乘法计数原理即可解出。

【解析】要为10名学生和他们的6位老师拍照,要求排成一排,6位老师相邻,先捆绑6位老师有,然后作为整体与其余的对象来排列可得共有种,那么根据分步乘法计数原理可知答案,所以选A选项。

填空题:3个

课件:


教案:

【学习目标】

1.熟练掌握排列数公式;

2.能运用排列数公式解决一些简单的应用问题.

【问题导学】

1.预习教材P 14-P 20,找出疑惑之处.

2.复习1:什么叫排列?排列的定义包括两个方面分别是取元素和排顺序;两个排列相同的条件是元素相同,元素的排列顺序也相同

复习2:排列数公式:

m n

A=(,,m n N m n*∈≤全排列数n n A==.

复习3从5个不同元素中任取2个元素的排列数是,全部取出的排列数是.

【合作探究】

探究任务一:排列数公式应用的条件

问题1:

⑴从5本不同的书中选3本送给3名同学,每人各1本,共有多少种不同的送法?⑵从5种不同的书中买3本送给3名同学,每人各1本,共有多少种不同的送法?

解析:(13560A=(2555125⨯⨯=

新知:排列数公式只能用在从n个不同元素中取出m个元素的的排列数,对元素可能相同的情况不能使用.

探究任务二:解决排列问题的基本方法

问题2:用0到9这10个数字,可以组成多少个没有重复数字的三位数(写出表达式即可?

解析:法一(直接法:按无0和有0分两类,共有312929648A A A+=个.(2间接法:

32109648A A-=个.

问题3:7位同学按照不同的要求站成一排,求不同排队方案有多少种?

(1甲必须站中间;

(2甲、乙只能站两端;

(3甲不站左端,乙不站右端;

(1(4甲、乙两人必须相邻;

(5甲、乙两人不能相邻.

解析:(1看作余下6个元素的全排列,66720A=种.(2根据分布乘法计数原理,第一

步,甲、乙站在两端有22A种,第二步,余下的5位同学进行全排列有55A种,所以共有

5252240A A=种.(3甲、乙为特殊元素,左、右两端为特殊位置.

法一(特殊元素法:甲在最右边时,其他的可全排列,有66A种,甲不在最右边时,可从余

下的5个位置中任选一个,有15A种;而乙可排在除去最右边位置后剩余的5个中的一个上,

有15A种,其余人全排列,故共有115555A A A种;由分类计数原理611565553720A A A A+=种.法二(特殊位置法:先排最左边,除甲外,有

16

A种,余下6个位置全排列有66A种,但应剔除乙在最右边的排法1555A A种,故共有

161566553720A A A A-=

法三(间接法:7个人全排有77A种,其中,不合条件的有甲在最左边时66A种,乙在最右

边时66A种,其中都包含了甲在最左边,同时乙在最右边的情况,有55A种.故共有765765

2A A A-+=3720.(4(捆绑法把甲、乙两人捆绑后看成一个元素.有62621440A A=种.

(5法一(插空法:先让其余的5人全排列再让甲、乙在6个位置插入排列,共有52563600A A=种.法二(间接法:不考虑限制条件共有77A种.除去甲、乙相邻的排法6262A A,

所以共有7627623600A A A-=种.

变式:(16男2女排成一排,2女相邻,有多少种不同的站法?

(26男2女排成一排,2女不能相邻,有多少种不同的站法?

(34男4女排成一排,同性别者相邻,有多少种不同的站法?

(44男4女排成一排,同性别者不能相邻,有多少种不同的站法?

(54男4女排成一排,甲、乙之间必须有2人.有多少种不同的站法?

解析:(1先将女生捆绑在一起.2727A A=10080(2先排男生再插入女生.626730240A A=.


(34424421152A A A=.(4先排男(女生,再插入女(男生,444421152A A=.(5

任取2人与甲、乙组成一个整体,与余下4人全排列,故有

2252657200A A A=.

新知:(1位置分析法;以位置为主,特殊(受限的位置优先考虑.有两个以上的约束条件时,往往根据其中一个条件分类处理.

(2元素分析法:以元素为主,先满足特殊(受限的要求,再处理其他元素,有两个以上的约束条件时,往往考虑一个元素的同时,兼顾其他元素.

(3间接法:也叫排异法,直接考虑情况较多.但其对立面情况较少,比较容易解决.可考虑

用间接法.

(4插空法:“不相邻”问题可以用插空法.但要注意无限制条件的元素的排列数及所形成的空的个数.

(5捆绑法:把要求在一起的“小集团”看成一个整体,与其他元素进行排列,同时不要忘记“小集团”内也要排列.此法适用于“相邻”问题的排列.

【学习评价】

●自我评价你完成本节导学案的情况为(.

A.很好

B.较好

C.一般

D.较差

●当堂检测(时量:5分钟满分:10分:

1.用数字1,2,3,4,6可以组成无重复数字的五位偶数有(C

A.48

B.64

C.72

D.90

2.5人排成一排,其中甲、乙至少一人在两端的排法种数为(B

A.6

B.84

C.24

D.48

B组(你坚信你能行:

3.甲、乙、丙3位志愿者安排在周一至周五的5天中参加某项志愿者活动,要求每人参加

一天且每天至多安排一人,并要求甲安排在另外两位前面,不同的安排方法共有(A

A.20

B.30

C.40

D.60

解析:分甲在周一、周二、周三三类讨论或总数乘以三分之一.

4.安排7位工作人员在10月1日到10月7日值班,其中甲、乙两人都不能安排在10月1日和10月2日,不同的安排方法共有2400种.

5(★★.五个人排成一排,甲、乙不相邻,且甲、丙也不相邻的不同排法的种数为36.

解析:分两类:一类是甲、乙、丙互不相邻,此类方法有232312A A=种;另一类是乙、丙相

邻但不与甲相邻,此类方法有222

23224

A A A=种(先把除甲、乙、丙外的另两人排好,有2

2

A种方法,再从这两人所形成的三个空位中任选2个作为甲和乙、丙的位置,故共有122436

+=种.

【小结与反思】


高中生学习推荐:
高中语文(微课+课件+教案+考点)汇总
高中英语(微课+课件+教案+考点)汇总
高中化学(微课+课件+教案+考点)汇总
高中物理(微课+课件+教案+考点)汇总
高中数学(微课+课件+教案+练习题)汇总
高中生物(微课+课件+教案+练习题)汇总
高中历史(必修+选修)微课精讲+考点汇总
高中政治(必修+选修)微课精讲+考点汇总

高中地理(必修+选修)微课精讲+考点汇总


图文来自网络,版权归原作者,如有不妥,告知即删

点击阅读原文下载全册PPT课件动画教案习题整套资料

→→中学生辅导答疑 点这里

1→ 统编教材配套课外阅读书籍

2→ 难懂的数学概念一眼看明白